Birman–Wenzl algebra
In mathematics, the Birman–Murakami–Wenzl (BMW) algebra, introduced by Joan Birman and Hans Wenzl (1989) and Jun Murakami (1987), is a two-parameter family of algebras of dimension having the Hecke algebra of the symmetric group as a quotient. It is related to the Kauffman polynomial of a link. It is a deformation of the Brauer algebra in much the same way that Hecke algebras are deformations of the group algebra of the symmetric group.
Definition
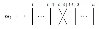
For each natural number n, the BMW algebra is generated by and relations:
These relations imply the further relations:
This is the original definition given by Birman and Wenzl. However a slight change by the introduction of some minus signs is sometimes made, in accordance with Kauffman's 'Dubrovnik' version of his link invariant. In that way, the fourth relation in Birman & Wenzl's original version is changed to
- (Kauffman skein relation)
Given invertibility of m, the rest of the relations in Birman & Wenzl's original version can be reduced to
- (Idempotent relation)
- (Braid relations)
- (Tangle relations)
- (Delooping relations)
Properties
- The dimension of is .
- The Iwahori–Hecke algebra associated with the symmetric group is a quotient of the Birman–Murakami–Wenzl algebra .
- The Artin braid group embeds in the BMW algebra, .
Isomorphism between the BMW algebras and Kauffman's tangle algebras
It is proved by Morton & Wassermann (1989) that the BMW algebra is isomorphic to the Kauffman's tangle algebra , the isomorphism is defined by
and 
Baxterisation of Birman–Murakami–Wenzl algebra
Define the face operator as
- ,
where and are determined by
and
- .
Then the face operator satisfies the Yang–Baxter equation.
Now with
- .
In the limits , the braids can be recovered up to a scale factor.
History
In 1984, Vaughan Jones introduced a new polynomial invariant of link isotopy types which is called the Jones polynomial. The invariants are related to the traces of irreducible representations of Hecke algebras associated with the symmetric groups. Murakami (1987) showed that the Kauffman polynomial can also be interpreted as a function on a certain associative algebra. In 1989, Birman & Wenzl (1989) constructed a two-parameter family of algebras with the Kauffman polynomial as trace after appropriate renormalization.
References
- Birman, Joan S.; Wenzl, Hans (1989), "Braids, link polynomials and a new algebra", Transactions of the American Mathematical Society, American Mathematical Society, 313 (1): 249–273, doi:10.1090/S0002-9947-1989-0992598-X, ISSN 0002-9947, JSTOR 2001074, MR 0992598
- Murakami, Jun (1987), "The Kauffman polynomial of links and representation theory", Osaka Journal of Mathematics, 24 (4): 745–758, ISSN 0030-6126, MR 0927059
- Morton, Hugh R.; Wassermann, Antony J. (1989). "A basis for the Birman–Wenzl algebra". arXiv:1012.3116 [math.QA].