Ferrichrome A
Ferrichrome A is a siderophore in the ferrichrome family. Iron is an essential element for the survival and proliferation of organisms.[1] Microorganisms produce and secrete potent iron chelators, also known as siderophores, to aid in the sequestration and increase bioavailability of iron.[2][3] Since the discovery of ferrichrome in 1952,[4][5] the ferrichrome family of siderophores contains at least 20 structurally distinct members of cyclic hexapeptides that chelate ferric iron via an octahedral coordination geometry through the oxygen atoms of the hydroxyl and the acyl groups of the three ornithine residues.[6] Ferrichrome A was found as one of the two siderophores produced by the biotrophic basidiomycete Ustilago maydis during its saprotrophic growth phase. U. maydis is the causative agent of corn smut.
![]() | |
| Names | |
|---|---|
| IUPAC name
(E)-5-[3-[(2S,5S,8S,11S,14S)-5,8-Bis[3-[[(E)-4-carboxy-3-methylbut-2-enoyl]-hydroxyamino]propyl]-11,14-bis(hydroxymethyl)-3,6,9,12,15,18-hexaoxo-1,4,7,10,13,16-hexazacyclooctadec-2-yl]propyl-hydroxyamino]-3-methyl-5-oxopent-3-enoic acid | |
| Identifiers | |
| |
3D model (JSmol) |
|
| ChemSpider |
|
| EC Number |
|
PubChem CID |
|
| |
| |
| Properties | |
| C41H61N9O20 | |
| Molar mass | 999.982 g·mol−1 |
Except where otherwise noted, data are given for materials in their standard state (at 25 °C [77 °F], 100 kPa).
Infobox references | |
Biosynthesis
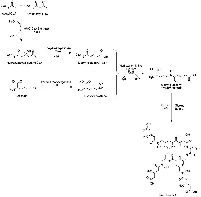
In U. maydis, the ferrichrome A biosynthetic pathway begins with the HMG-CoA synthase (Hcs1) of acetyl-CoA and acetoacetyl-CoA for generation of hydroxymethyl glutaryl-CoA (HMG-CoA). The next step involves the conversion of HMG-CoA to methyl glutaconyl-CoA via enoyl-CoA hydratase (Fer4). Methyl glutaconyl-CoA is then coupled with hydroxy ornithine (derived from the ornithine monoxygenase, Sid1, of the precursor ornithine) via hydroxyornithine acylase (Fer5) to yield methylglutaconyl hydroxy ornithine. Cyclization of three methylglutaconyl hydroxy ornithine with a glycine and two serine amino acids via NRPS Fer3 yields ferrichrome A.[7]
Biosynthesis of ferrichrome A in Ustilago maydis
References
- Abbaspour, Nazanin; Hurrell, Richard; Kelishadi, Roya (February 2014). "Review on iron and its importance for human health". Journal of Research in Medical Sciences. 19 (2): 164–174. ISSN 1735-1995. PMC 3999603. PMID 24778671.
- Neilands, J. B. (1995-11-10). "Siderophores: Structure and Function of Microbial Iron Transport Compounds". Journal of Biological Chemistry. 270 (45): 26723–26726. doi:10.1074/jbc.270.45.26723. ISSN 0021-9258. PMID 7592901.
- Miethke, Marcus; Marahiel, Mohamed A. (2007-09-01). "Siderophore-Based Iron Acquisition and Pathogen Control". Microbiology and Molecular Biology Reviews. 71 (3): 413–451. doi:10.1128/MMBR.00012-07. ISSN 1092-2172. PMC 2168645. PMID 17804665.
- Neilands, J. B. (October 1952). "A Crystalline Organo-iron Pigment from a Rust Fungus (Ustilago sphaerogena)1". Journal of the American Chemical Society. 74 (19): 4846–4847. doi:10.1021/ja01139a033. ISSN 0002-7863.
- Hesseltine, C. W.; Pidacks, C.; Whitehill, A. R.; Bohonos, N.; Hutchings, B. L.; Williams, J. H. (March 1952). "Coprogen, A New Growth Factor for Coprophilic Fungi". Journal of the American Chemical Society. 74 (5): 1362. doi:10.1021/ja01125a525. ISSN 0002-7863.
- Winkelmann, Günther (2007-01-18). "Ecology of siderophores with special reference to the fungi". BioMetals. 20 (3–4): 379–392. doi:10.1007/s10534-006-9076-1. ISSN 0966-0844. PMID 17235665. S2CID 25877869.
- Winterberg, Britta; Uhlmann, Stefanie; Linne, Uwe; Lessing, Franziska; Marahiel, Mohamed A.; Eichhorn, Heiko; Kahmann, Regine; Schirawski, Jan (February 21, 2010). "Elucidation of the complete ferrichrome A biosynthetic pathway in Ustilago maydis". Molecular Microbiology. 75 (5): 1260–1271. doi:10.1111/j.1365-2958.2010.07048.x. ISSN 0950-382X. PMID 20070524.
