GMP reductase
GMP reductase EC 1.7.1.7 (Guanosine 5'-monophosphate oxidoreductase ) is an enzyme that catalyzes the irreversible and NADPH-dependent reductive deamination of GMP into IMP.[1]
| guanosine monophosphate reductase | |||||||
|---|---|---|---|---|---|---|---|
![]() | |||||||
| Identifiers | |||||||
| Symbol | GMPR | ||||||
| NCBI gene | 2766 | ||||||
| HGNC | 4376 | ||||||
| OMIM | 139265 | ||||||
| RefSeq | NM_006877 | ||||||
| UniProt | P36959 | ||||||
| Other data | |||||||
| EC number | 1.7.1.7 | ||||||
| Locus | Chr. 6 p23 | ||||||
| |||||||
| guanosine monophosphate reductase 2 | |||||||
|---|---|---|---|---|---|---|---|
| Identifiers | |||||||
| Symbol | GMPR2 | ||||||
| NCBI gene | 51292 | ||||||
| HGNC | 4377 | ||||||
| OMIM | 610781 | ||||||
| RefSeq | NM_016576 | ||||||
| UniProt | Q9P2T1 | ||||||
| Other data | |||||||
| Locus | Chr. 14 q11.2 | ||||||
| |||||||
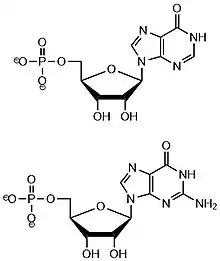
NADPH + guanosine 5-phosphate = NADP+ + inosine 5-phosphate + NH3
By converting guanosine nucleotides to inosine nucleotides, which serve as precursors to both adenosine (A) and G nucleotides, it helps maintains intracellular balance of A and G nucleotides.[2] GMP can be broken down (catabolized) by other enzymes, but GMPR catalyzes the only recognized route for converting GMP to AMP (indirectly, through the IMP intermediate).[3] Whereas the conversion of GMP to IMP involves a single enzyme, GMPR, the conversion of IMP to GMP involves two enzymes. First, inosine monophosphate dehydrogenase (IMPDH) catalyzes the conversion of IMP to XMP; then GMP synthetase (GMPS) catalyzes the conversion of XMP to GMP. These two pathways are inversely regulated, with conditions favoring IMPDH expression decreasing GMPR expression.[3] In melanocytic cells, GMP reductase gene expression may be regulated by MITF.[4] It is activated by GTP and inhibited by xanthosine 5'-monophosphate (XMP).[5]
The amino acid sequence that makes up the GMP reductase is similar across organisms. In humans, there are hGMPR1 and hGMPR2, 2 GMP reductases that are different in their amino acid sequence (90% of the sequence is conserved) but has the same function overall. Although hGMPR1 and hGMPR2 do not have an identical amino acid sequence, they have similar kinetic properties and they both use NADPH as a coenzyme for their catalyzed reaction.[6] Aside from human erythrocytes, GMPR has been isolated from E.coli as well as rodents.[7]
Structure and catalytic mechanism
A crystal structure of hGMPR2 was obtained, and the model shows that hGMPR2 is a homotetramer that consist of a mix of alpha helices and beta sheets (parallel and antiparallel). Each monomer interacts with each other at their edges, which allow for stabilization of the tetramer structure. On the surface of each monomer, there are phosphate molecules that exist without any interactions with other subunits. The monomers are listed as monomer A, B, C and D. Monomers A and B consist of 338 residues, one GMP and two sulfate ions. Monomer C is similar, consisting of 327 residues, one GMP molecule and two sulfate ions. Monomer D, however, does not contain a GMP molecule and only consist of 317 residues and two sulfate ions. The alpha helices and beta sheets comes together to form a 8-stranded barrel core, in which it contains several hydrophobic residues that allow the stabilization of the core. The structure also contains disulfide bonds between Cys68 and Cys95, which are not conserved in most GMPRs, but is proposed to be important for stabilizing the entire tetramer structure.[6]
The overall reaction consists of two steps: a deamination step, in which ammonia is released from guanosine and a covalent enzyme-GXP (E-XMP*) intermediate is formed, followed by a hydride transfer step, in which E-XMP* is reduced with a hydride from NADPH, releasing IMP.[8] Inosine monophosphate dehydrogenase (IMPDH) and GMPR have similar catalytic mechanisms but different structural dynamics.[3]

Species distribution
The rat version of GMPR is expressed in brown adipose tissue (BAT) when certain conditions triggers its response and it is mainly present in the kidney, as well as cardiac and skeletal muscle. One of these conditions include cold stimulation. When the organism is exposed to the cold, the GMPR RNA expression can increase to a maximum of 30 fold, allowing heat production. A hypothesis for this occurring is that the conversion of GMP to IMP potentially increase adenylosuccinate (precursor of AMP), which allows for the production of a second messenger cAMP. This messenger is important for the BAT heat production.[7]
Clinical significance
It has been realized that GMPR and its products increases in Alzheimer's disease. The GMPR gene encodes for the protein GMPR1 (GMP reductase enzyme) that catalyzes the reaction for converting GMP to IMP. IMP can also be converted to AMP and adenosine (A). The presence of the adenosine can bind to A1/A2 receptors (important for mediation of Tau phosphorylation) which ultimately results in increased expression of Alzheimer's disease. This is because Alzheimer's disease is due to neurofilament tangles (NFT) forming inside neurons, and phosphorylation of tau is one of the reasons for why the tangles form. Activation of the adenosine receptors increases the tangling of neurofilaments so Alzheimer's disease patients' conditions will worsen. By testing for possible inhibitors of GMPR1, it can help eliminate Tau phosphorylation.[9]
GMPR is also involved in the skin cancer melanoma. For patients with melanoma, expression of GMPR becomes reduced. An important role that GMPR plays in melanoma is that it reduces Rho-GTPases and it prevents melanoma cells from forming invadopodia, breaking down the extracellular matrix, and growing as tumors. It does this by using up or essentially decreasing the amount of GTP available. This decreases the supply of guanosine available and therefore, decrease the potential of having an invasive property. By decreasing the amounts of GMPR, it increases the chance of invasion and symptoms of melanoma to occur. Therefore, GMPR is needed to suppress melanoma invasion.[10]
GMPR also plays a role in leukemia. It has been found that in the cases of promyelocytic leukemia cells being differentiate to monocytes, the expression of GMPR has increased by a lot. Therefore, the gene for GMPR can also be a potential target for the treating leukemia. [11]
See also
References
- Andrews SC, Guest JR (October 1988). "Nucleotide sequence of the gene encoding the GMP reductase of Escherichia coli K12". The Biochemical Journal. 255 (1): 35–43. doi:10.1042/bj2550035. PMC 1135187. PMID 2904262.
- "OMIM Entry- * 139265 - GUANOSINE MONOPHOSPHATE REDUCTASE; GMPR". omim.org. Retrieved 2022-01-01.
- Hedstrom L (2012-06-01). "The dynamic determinants of reaction specificity in the IMPDH/GMPR family of (β/α)(8) barrel enzymes". Critical Reviews in Biochemistry and Molecular Biology. 47 (3): 250–263. doi:10.3109/10409238.2012.656843. PMC 3337344. PMID 22332716.
- Hoek KS, Schlegel NC, Eichhoff OM, Widmer DS, Praetorius C, Einarsson SO, et al. (December 2008). "Novel MITF targets identified using a two-step DNA microarray strategy". Pigment Cell & Melanoma Research. 21 (6): 665–76. doi:10.1111/j.1755-148X.2008.00505.x. PMID 19067971. S2CID 24698373.
- Spector T, Jones TE, Miller RL (April 1979). "Reaction mechanism and specificity of human GMP reductase. Substrates, inhibitors, activators, and inactivators". The Journal of Biological Chemistry. 254 (7): 2308–15. doi:10.1016/S0021-9258(17)30222-3. PMID 218932.
- Li J, Wei Z, Zheng M, Gu X, Deng Y, Qiu R, et al. (February 2006). "Crystal structure of human guanosine monophosphate reductase 2 (GMPR2) in complex with GMP". Journal of Molecular Biology. 355 (5): 980–8. doi:10.1016/j.jmb.2005.11.047. PMID 16359702.
- Salvatore D, Bartha T, Larsen PR (November 1998). "The guanosine monophosphate reductase gene is conserved in rats and its expression increases rapidly in brown adipose tissue during cold exposure". The Journal of Biological Chemistry. 273 (47): 31092–6. doi:10.1074/jbc.273.47.31092. PMID 9813009.
- Rosenberg MM, Redfield AG, Roberts MF, Hedstrom L (October 2016). "Substrate and Cofactor Dynamics on Guanosine Monophosphate Reductase Probed by High Resolution Field Cycling 31P NMR Relaxometry". The Journal of Biological Chemistry. 291 (44): 22988–22998. doi:10.1074/jbc.M116.739516. PMC 5087720. PMID 27613871.
- Liu H, Luo K, Luo D (February 2018). "Guanosine monophosphate reductase 1 is a potential therapeutic target for Alzheimer's disease". Scientific Reports. 8 (1): 2759. doi:10.1038/s41598-018-21256-6. PMC 5807363. PMID 29426890.
- Wawrzyniak JA, Bianchi-Smiraglia A, Bshara W, Mannava S, Ackroyd J, Bagati A, et al. (October 2013). "A purine nucleotide biosynthesis enzyme guanosine monophosphate reductase is a suppressor of melanoma invasion". Cell Reports. 5 (2): 493–507. doi:10.1016/j.celrep.2013.09.015. PMC 3902135. PMID 24139804.
- Zhang J, Zhang W, Zou D, Chen G, Wan T, Zhang M, Cao X (February 2003). "Cloning and functional characterization of GMPR2, a novel human guanosine monophosphate reductase, which promotes the monocytic differentiation of HL-60 leukemia cells". Journal of Cancer Research and Clinical Oncology. 129 (2): 76–83. doi:10.1007/s00432-002-0413-7. PMID 12669231. S2CID 19461271.
External links
- GMP+reductase at the U.S. National Library of Medicine Medical Subject Headings (MeSH)
- Proposed catalytic mechanism: Mechanism and Catalytic Site Atlas - GMP Reductase
