Herz reaction

The Herz reaction, named after the chemist Richard Herz, is the chemical conversion of an aniline-derivative (1) to a so-called Herz salt (2) with disulfur dichloride, followed by hydrolysis of this Herz salt (2) to the corresponding sodium thiolate (3):[1]

Herz-reaction
Herz-reaction

Applications

Benzothiadiazoles

The Herz salts hydrolyze to give aminothiophenols, which are suitable for diazotization, giving Benzothiadiazoles.[2]

Benzothiazoles

The sodium thiolate can be converted to an intermediate zinc mercaptide with zinc sulfate, followed by reaction of the mercaptide with for instance benzoyl chloride, forming a 1,3-benzothiazole.

Herz-reaction application
Herz-reaction application

Dyes

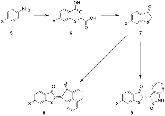
Aniline 5 is converted to compound 6, in three steps;

  1. conversion to an ortho-aminothiol through the Herz-reaction (aniline 5 and disulfur dichloride), followed by
  2. conversion to an ortho-aminoarylthioglycolacid and
  3. conversion of the aromatic amine function to a nitrile via the Sandmeyer reaction.
  4. In a last step the nitrile is hydrolysed resulting in 6. This compound is converted to 7 via a ring-closing reaction and decarboxylation.

The compound, (thioindoxyl, 7) is an important intermediate in the organic synthesis of some dyes. Condensation with acenaphthoquinone gives 8, a dye of the so-called Ciba-Scarlet type, while condensation of 7 with isatin results in the thio-Indigo dye 9.

Herz-reaction application dyes
Herz-reaction application dyes

References

  1. W. K. Warburton (1957). "Arylthiazathiolium Salts And o-Aminoaryl Thiols - The Herz Reaction". Chemical Reviews. 57 (5): 1011–1020. doi:10.1021/cr50017a004.
  2. Kirby, P.; Soloway, S. B.; Davies, J. H.; Webb, Shirley B. (1970). "1,2,3-Benzothiadiazoles. Part I. A simplified synthesis of 1,2,3-benzothiadiazoles". Journal of the Chemical Society C: Organic (16): 2250. doi:10.1039/J39700002250.
This article is issued from Wikipedia. The text is licensed under Creative Commons - Attribution - Sharealike. Additional terms may apply for the media files.