Isomaltase

Isomaltase (EC 3.2.1.10) is an enzyme that breaks the bonds linking saccharides, which cannot be broken by amylase or maltase. It digests polysaccharides at the alpha 1-6 linkages. Its substrate, alpha-limit dextrin, is a product of amylopectin digestion that retains its 1-6 linkage (its alpha 1-4 linkages having already been broken down by amylase). The product of the enzymatic digestion of alpha-limit dextrin by isomaltase is maltose.

Oligo-1,6-glucosidase
Identifiers
EC no.3.2.1.10
Databases
IntEnzIntEnz view
BRENDABRENDA entry
ExPASyNiceZyme view
KEGGKEGG entry
MetaCycmetabolic pathway
PRIAMprofile
PDB structuresRCSB PDB PDBe PDBsum
Search
PMCarticles
PubMedarticles
NCBIproteins

Isomaltase helps amylase to digest alpha-limit dextrin to produce maltose. The human sucrase-isomaltase is a dual-function enzyme with two GH31 domains, one serving as the isomaltase, the other as a sucrose alpha-glucosidase.

Nomenclature

The systematic name of sucrase-isomaltase is oligosaccharide 6-alpha-glucohydrolase. This enzyme is also known as:

  • Sucrase-alpha-dextrinase
  • oligo-1,6-glucosidase,
  • limit dextrin,
  • so maltase,
  • exo-oligo-1,6-glucosidase,
  • dextrin 6alpha-glucanohydrolase,
  • alpha-limit dextrin,
  • dextrin 6-glucanohydrolase, and
  • oligosaccharide alpha-1,6-glucohydrolase.

Mechanism

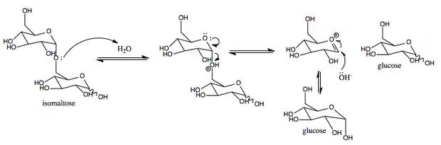
Mechanism for how sucrase-isomaltase catalyzes the conversion of isomaltose to two glucose molecules

This enzyme catalyses the following chemical reaction

Hydrolysis of (1->6)-alpha-D-glucosidic linkages in some oligosaccharides produced from starch and glycogen by enzyme EC 3.2.1.1.

Hydrolysis uses water to cleave chemical bonds. Sucrase-isomaltase’s mechanism results in a net retention of configuration at the anomeric center.[1]


References

  1. Sim L, Willemsma C, Mohan S, Naim HY, Pinto BM, Rose DR (June 2010). "Structural basis for substrate selectivity in human maltase-glucoamylase and sucrase-isomaltase N-terminal domains". The Journal of Biological Chemistry. 285 (23): 17763–70. doi:10.1074/jbc.M109.078980. PMC 2878540. PMID 20356844.


This article is issued from Wikipedia. The text is licensed under Creative Commons - Attribution - Sharealike. Additional terms may apply for the media files.