Phellandrene

Phellandrenes are a pair of organic compounds that have a similar molecular structure and similar chemical properties. α-Phellandrene and β-phellandrene are cyclic monoterpenes and are double-bond isomers. In α-phellandrene, both double bonds are endocyclic and in β-phellandrene, one of them is exocyclic. Both are insoluble in water, but miscible with diethyl ether.

Phellandrenes
α-Phellandrene
α-Phellandrene
α-Phellandrene
β-Phellandrene
β-Phellandrene
β-Phellandrene
Names
IUPAC names
(α): 2-Methyl-5-(propan-2-yl)cyclohexa-1,3-diene
(β): 3-Methylidene-6-(propan-2-yl)cyclohex-1-ene
Identifiers
3D model (JSmol)
ChEBI
ChemSpider
ECHA InfoCard 100.014.121
EC Number
  • (α): 202-792-5
  • (β): 209-081-9
  • (−)-(α): 224-167-6
KEGG
UNII
  • (α): InChI=1S/C10H16/c1-8(2)10-6-4-9(3)5-7-10/h4-6,8,10H,7H2,1-3H3
    Key: OGLDWXZKYODSOB-UHFFFAOYSA-N
  • (β): InChI=1S/C10H16/c1-8(2)10-6-4-9(3)5-7-10/h4,6,8,10H,3,5,7H2,1-2H3
    Key: LFJQCDVYDGGFCH-UHFFFAOYSA-N
  • (−)-(α): InChI=1S/C10H16/c1-8(2)10-6-4-9(3)5-7-10/h4-6,8,10H,7H2,1-3H3/t10-/m1/s1
    Key: OGLDWXZKYODSOB-SNVBAGLBSA-N
  • (+)-(α): InChI=1S/C10H16/c1-8(2)10-6-4-9(3)5-7-10/h4-6,8,10H,7H2,1-3H3/t10-/m0/s1
    Key: OGLDWXZKYODSOB-JTQLQIEISA-N
  • (α): CC1=CCC(C=C1)C(C)C
  • (β): CC(C)C1CCC(=C)C=C1
  • (−)-(α): CC1=CC[C@@H](C=C1)C(C)C
  • (+)-(α): CC1=CC[C@H](C=C1)C(C)C
Properties[1]
C10H16
Molar mass 136.24 g/mol
Appearance Colorless oil (α and β)
Density α: 0.846 g/cm3
β: 0.85 g/cm3
Boiling point α: 171-172 °C
β: 171-172 °C
Insoluble (α and β)
Hazards
GHS labelling:
GHS02: FlammableGHS08: Health hazard
Danger
H226, H304
P210, P233, P240, P241, P242, P243, P280, P301+P310, P303+P361+P353, P331, P370+P378, P403+P235, P405, P501
Except where otherwise noted, data are given for materials in their standard state (at 25 °C [77 °F], 100 kPa).
☒N verify (what is checkY☒N ?)
Infobox references

α-Phellandrene was named after Eucalyptus phellandra, now called Eucalyptus radiata, from which it can be isolated.[2] It is also a constituent of the essential oil of Eucalyptus dives.[3] β-Phellandrene has been isolated from the oil of water fennel and Canada balsam oil.

The phellandrenes are used in fragrances because of their pleasing aromas. The odor of β-phellandrene has been described as peppery-minty and slightly citrusy.

The α-phellandrene isomer can form hazardous and explosive peroxides on contact with air at elevated temperatures.[4]

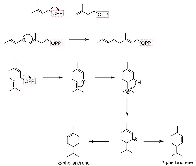
Biosynthesis

The biosynthesis of phellandrene begins with dimethylallyl pyrophosphate and isopentenyl pyrophosphate condensing in an SN1 reaction to form geranyl pyrophosphate. The resultant monoterpene undergoes cyclization to form a menthyl cationic species. A hydride shift then forms an allylic carbocation. Finally, an elimination reaction occurs at one of two positions, yielding either α-phellandrene or β-phellandrene.[5]

References

  1. The Merck Index, 12th Edition, 7340, 7341
  2. Jacobs, S.W.L., Pickard, J., Plants of New South Wales, 1981, ISBN 0-7240-1978-2.
  3. Boland, D. J., Brophy, J. J., and A. P. N. House, Eucalyptus Leaf Oils, 1991, ISBN 0-909605-69-6.
  4. Urben, Peter (2007). Bretherick's Handobook of Reactive Chemical Hazards. Vol. 1 (7 ed.). Butterworth-Heinemann. p. 1154.
  5. Dewick, Paul M. (9 March 2009). Medicinal natural products : a biosynthetic approach (3rd ed.). Chichester, West Sussex, United Kingdom. ISBN 9780470741689. OCLC 259265604.{{cite book}}: CS1 maint: location missing publisher (link)
This article is issued from Wikipedia. The text is licensed under Creative Commons - Attribution - Sharealike. Additional terms may apply for the media files.