Pyramidal inversion
In chemistry, pyramidal inversion (also umbrella inversion) is a fluxional process in compounds with a pyramidal molecule, such as ammonia (NH3) "turns inside out".[1][2] It is a rapid oscillation of the atom and substituents, the molecule or ion passing through a planar transition state.[3] For a compound that would otherwise be chiral due to a stereocenter, pyramidal inversion allows its enantiomers to racemize. The general phenomenon of pyramidal inversion applies to many types of molecules, including carbanions, amines, phosphines, arsines, stibines, and sulfoxides.[4][2]
Energy barrier

The identity of the inverting atom has a dominating influence on the barrier. Inversion of ammonia is rapid at room temperature, inverting 30 billion times per second. Three factors contribute to the rapidity of the inversion: a low energy barrier (24.2 kJ/mol; 5.8 kcal/mol), a narrow barrier width (distance between geometries), and the low mass of hydrogen atoms, which combine to give a further 80-fold rate enhancement due to quantum tunnelling.[5] In contrast, phosphine (PH3) inverts very slowly at room temperature (energy barrier: 132 kJ/mol).[6] Consequently, amines of the type RR′R"N usually are not optically stable (enantiomers racemize rapidly at room temperature), but P-chiral phosphines are.[7] Appropriately substituted sulfonium salts, sulfoxides, arsines, etc. are also optically stable near room temperature. Steric effects can also influence the barrier.
Nitrogen inversion
![]() Nitrogen inversion in ammonia | ||
| ⇌ |
|
| Inversion of an amine. The C3 axis of the amine is presented as horizontal, and the pair of dots represent the lone pair of the nitrogen atom collinear with that axis. A mirror plane can be imagined to relate the two amine molecules on either side of the arrows. If the three R groups attached to the nitrogen are all unique, then the amine is chiral; whether it can be isolated depends on the free energy required for the molecule's inversion. | ||
Pyramidal inversion in nitrogen and amines is known as nitrogen inversion.[8] It is a rapid oscillation of the nitrogen atom and substituents, the nitrogen "moving" through the plane formed by the substituents (although the substituents also move - in the other direction);[9] the molecule passing through a planar transition state.[10] For a compound that would otherwise be chiral due to a nitrogen stereocenter, nitrogen inversion provides a low energy pathway for racemization, usually making chiral resolution impossible.[11]
Quantum effects
Ammonia exhibits a quantum tunnelling due to a narrow tunneling barrier,[12] and not due to thermal excitation. Superposition of two states leads to energy level splitting, which is used in ammonia masers.
Examples
The inversion of ammonia was first detected by microwave spectroscopy in 1934.[13]
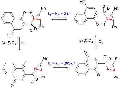
In one study the inversion in an aziridine was slowed by a factor of 50 by placing the nitrogen atom in the vicinity of a phenolic alcohol group compared to the oxidized hydroquinone.[14]

The system interconverts by oxidation by oxygen and reduction by sodium dithionite.
Exceptions
Conformational strain and structural rigidity can effectively prevent the inversion of amine groups. Tröger's base analogs[15] (including the Hünlich's base[16]) are examples of compounds whose nitrogen atoms are chirally stable stereocenters and therefore have significant optical activity.[17]

References
- Arvi Rauk; Leland C. Allen; Kurt Mislow (1970). "Pyramidal Inversion". Angew. Chem. Int. Ed. 9 (6): 400–414. doi:10.1002/anie.197004001.
- IUPAC, Compendium of Chemical Terminology, 2nd ed. (the "Gold Book") (1997). Online corrected version: (2006–) "Pyramidal inversion". doi:10.1351/goldbook.P04956
- J. M. Lehn (1970). "Nitrogen Inversion: Experiment and Theory". Fortschr. Chem. Forsch. 15: 311–377. doi:10.1007/BFb0050820.
- Arvi Rauk; Leland C. Allen; Kurt Mislow (1970). "Pyramidal Inversion". Angew. Chem. Int. Ed. 9 (6): 400–414. doi:10.1002/anie.197004001.
- Halpern, Arthur M.; Ramachandran, B. R.; Glendening, Eric D. (June 2007). "The Inversion Potential of Ammonia: An Intrinsic Reaction Coordinate Calculation for Student Investigation". Journal of Chemical Education. 84 (6): 1067. doi:10.1021/ed084p1067. eISSN 1938-1328. ISSN 0021-9584.
- Kölmel, C.; Ochsenfeld, C.; Ahlrichs, R. (1991). "An ab initio investigation of structure and inversion barrier of triisopropylamine and related amines and phosphines". Theor. Chim. Acta. 82 (3–4): 271–284. doi:10.1007/BF01113258. S2CID 98837101.
- Xiao, Y.; Sun, Z.; Guo, H.; Kwon, O. (2014). "Chiral Phosphines in Nucleophilic Organocatalysis". Beilstein Journal of Organic Chemistry. 10: 2089–2121. doi:10.3762/bjoc.10.218. PMC 4168899. PMID 25246969.
- Ghosh, Dulal C.; Jana, Jibanananda; Biswas, Raka (2000). "Quantum chemical study of the umbrella inversion of the ammonia molecule". International Journal of Quantum Chemistry. 80 (1): 1–26. doi:10.1002/1097-461X(2000)80:1<1::AID-QUA1>3.0.CO;2-D. ISSN 1097-461X.
- Greenwood, Norman N.; Earnshaw, Alan (1997). Chemistry of the Elements (2nd ed.). Butterworth-Heinemann. p. 423. ISBN 978-0-08-037941-8.
- J. M. Lehn (1970). "Nitrogen Inversion: Experiment and Theory". Fortschr. Chem. Forsch. 15: 311–377. doi:10.1007/BFb0050820.
- Smith, Michael B.; March, Jerry (2007), Advanced Organic Chemistry: Reactions, Mechanisms, and Structure (6th ed.), New York: Wiley-Interscience, pp. 142–145, ISBN 978-0-471-72091-1
- Feynman, Richard P.; Robert Leighton; Matthew Sands (1965). "The Hamiltonian matrix". The Feynman Lectures on Physics. Vol. III. Massachusetts, USA: Addison-Wesley. ISBN 0-201-02118-8.
- Cleeton, C.E.; Williams, N.H. (1934). "Electromagnetic waves of 1.1 cm wave-length and the absorption spectrum of ammonia". Physical Review. 45 (4): 234–237. Bibcode:1934PhRv...45..234C. doi:10.1103/PhysRev.45.234.
- Control of Pyramidal Inversion Rates by Redox Switching Mark W. Davies, Michael Shipman, James H. R. Tucker, and Tiffany R. Walsh J. Am. Chem. Soc.; 2006; 128(44) pp. 14260–14261; (Communication) doi:10.1021/ja065325f
- MRostami; et al. (2017). "Design and synthesis of Ʌ-shaped photoswitchable compounds employing Tröger's base scaffold". Synthesis. 49 (6): 1214–1222. doi:10.1055/s-0036-1588913.
- MKazem; et al. (2017). "Facile preparation of Λ-shaped building blocks: Hünlich base derivatization". Synlett. 28 (13): 1641–1645. doi:10.1055/s-0036-1588180. S2CID 99294625.
- MRostami, MKazem (2019). "Optically active and photoswitchable Tröger's base analogs". New Journal of Chemistry. 43 (20): 7751–7755. doi:10.1039/C9NJ01372E. S2CID 164362391 – via The Royal Society of Chemistry.


