Walden inversion

Walden inversion is the inversion of a stereogenic center in a chiral molecule in a chemical reaction. Since a molecule can form two enantiomers around a stereogenic center, the Walden inversion converts the configuration of the molecule from one enantiomeric form to the other. For example, in an SN2 reaction, Walden inversion occurs at a tetrahedral carbon atom. It can be visualized by imagining an umbrella turned inside-out in a gale. In the Walden inversion, the backside attack by the nucleophile in an SN2 reaction gives rise to a product whose configuration is opposite to the reactant. Therefore, during SN2 reaction, 100% inversion of product takes place. This is known as Walden inversion.

Montage, using ball-and-stick models, of the three steps in an SN2 reaction. The nucleophile is green, the leaving group is red and the three substituents are orange.
The SN2 reaction causes inversion of stereochemical configuration, known as Walden inversion.

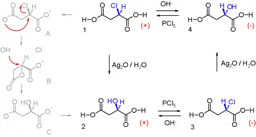
It was first observed by chemist Paul Walden in 1896. He was able to convert one enantiomer of a chemical compound into the other enantiomer and back again in a so-called Walden cycle which went like this: (+) chlorosuccinic acid (1 in the illustration) was converted to (+) malic acid 2 by action of silver oxide in water with retention of configuration. In the next step the hydroxyl group was replaced by chlorine to the other isomer of chlorosuccinic acid 3 by reaction with phosphorus pentachloride. A reaction with silver oxide yielded (-) malic acid 4 and finally a reaction with PCl5 returned the cycle to its starting point.[1]

Walden cycle

In this reaction, the silver oxide in the first step acts as a hydroxide donor while the silver ion plays no role in the reaction. The intermediates are the carboxyl dianion A which gives an intramolecular nucleophilic substitution by the β-carboxylate anion to produce a four-membered β-lactone ring B. The α-carboxyl group is also reactive but in silico data suggests that the transition state for the formation of the three-membered α-lactone is very high. A hydroxyde ion ring-opens the lactone to form the alcohol C and the net effect of two counts of inversion is retention of configuration.[2]

See also

References

  1. P. Walden (1896). "Ueber die gegenseitige Umwandlung optischer Antipoden". Berichte der deutschen chemischen Gesellschaft. 29 (1): 133–138. doi:10.1002/cber.18960290127.
  2. Buchanan, J. Grant; Diggle, Richard A.; Ruggiero, Giuseppe D.; Williams, Ian H. (2006). "The Walden cycle revisited: a computational study of competitive ring closure to α- and β-lactones". Chemical Communications. Royal Society of Chemistry (RSC) (10): 1106. doi:10.1039/b517461a. ISSN 1359-7345.
This article is issued from Wikipedia. The text is licensed under Creative Commons - Attribution - Sharealike. Additional terms may apply for the media files.