Salvia nemorosa
Salvia nemorosa, the woodland sage, Balkan clary, blue sage or wild sage,[1] is a hardy herbaceous perennial plant native to a wide area of central Europe and Western Asia.
| Salvia nemorosa | |
|---|---|
![]() | |
| Scientific classification | |
| Kingdom: | Plantae |
| Clade: | Tracheophytes |
| Clade: | Angiosperms |
| Clade: | Eudicots |
| Clade: | Asterids |
| Order: | Lamiales |
| Family: | Lamiaceae |
| Genus: | Salvia |
| Species: | S. nemorosa |
| Binomial name | |
| Salvia nemorosa | |
It is an attractive plant that is easy to grow and propagate, with the result that it has been passed around by gardeners for many years. Its wide distribution, long history, and the ease with which it hybridizes have resulted in many cultivars and hybrids—along with problems in clearly identifying the hybrids and their relationship with S. nemorosa. It was named and described by Carl Linnaeus in 1762, with nemorosa ("of woods") referring to its typical habitat in groves and woods.[2]
In northern Britain, Salvia nemorosa and Salvia pratensis are both in danger of disappearing due to depredation from slugs.[3]
Description
The many inflorescences have closely spaced whorls of small flowers with brightly colored calyces.
Cultivation
There are numerous cultivars widely grown in horticulture. Many of them are hardy to –18 °C., with flowers ranging in color from violet, to violet-blue, rosy pink, and even white. All are perennial, with numerous leafy stems growing from the base at the beginning of summer. The plant prefers full sun, good drainage, and moderate weekly watering.[2] The plant is hardy to USDA Hardiness Zones Zones 4–8.[4]
AGM cultivars
In the UK the following cultivars have gained the Royal Horticultural Society's Award of Garden Merit:-[5]
Phytochemistry

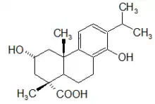
The word 'salvia' strings from the Latin word, 'salvare' which it is translated to "health". Because the woodland sage, or 'salvia nemorosa' is part of the salvia species, it means that this is a medicinal plant. Places, such as Russia, tend to use 'salvia nemorosa' to help treat diarrhea as well as hemorrhages. Leaves of Salvia nemorosa have been used in Turkish medicine to stop bleeding by applying externally. Diterpenes and triterpenes have been isolated from aerial parts of S. nemorosa: nemorone, nemorosin, horminone, 7-acetylhorminone, salvinemorol, megastigmane glycosides (salvionosides A, B and C), pachystazone, salvipisone, α-amyrin, ursolic and oleanolic acids, stigmast-7-en-3-one, 24-methylenecycloartanol, stigmast-4-en-3-one, β-sitosterol, stigmast-7-enol, as well as flavonoids salvigenin, eupatilin, apigenin and luteolin.[15]
</ref>==References==
- "Salvia nemorosa". Global Biodiversity Information Facility. Retrieved 6 February 2021.
- Clebsch, Betsy; Barner, Carol D. (2003). The New Book of Salvias. Timber Press. p. 208. ISBN 978-0-88192-560-9.
- Fieldhouse, Ken; Hitchmough, James (2004). Plant User Handbook: A Guide to Effective Specifying. Blackwell Publishing. pp. 334–335. ISBN 978-0-632-05843-3.
- Missouri Botanical Garden: Salvia nemorosa 'Caradonna'
- "AGM Plants - Ornamental" (PDF). Royal Horticultural Society. July 2017. p. 95. Retrieved 12 October 2018.
- "RHS Plant Selector - Salvia nemorosa 'Amethyst'". Retrieved 5 March 2021.
- "RHS Plant Selector - Salvia × sylvestris 'Blauhügel'". Retrieved 5 March 2021.
- "RHS Plantfinder - Salvia nemorosa 'Caradonna'". Retrieved 12 October 2018.
- "RHS Plant Selector - Salvia nemorosa 'Lubecca'". Retrieved 5 March 2021.
- "RHS Plant Selector - Salvia × sylvestris 'Mainacht'". Retrieved 5 March 2021.
- "RHS Plant Selector - Salvia nemorosa 'Ostfriesland'". Retrieved 5 March 2021.
- "RHS Plant Selector - Salvia nemorosa 'Porzellan'". Retrieved 5 March 2021.
- "RHS Plant Selector - Salvia × sylvestris 'Tanzerin'". Retrieved 5 March 2021.
- "Salvia × slvestris 'Viola Klose'". RHS. Retrieved 5 March 2021.
- Ulubelen, Topçu, Sönmez, Eris. Terpenoids from Salvia nemorosa. Phytochemistry (1994). Vol. 35. No. 4, pp. 1065-1067.
Bahadori, M. B., Asghari, B., Dinparast, L., Zengin, G., Sarikurkcu, C., Abbas-Mohammadi, M., & Bahadori, S. (2017). Salvia nemorosa L.: A novel source of bioactive agents with functional connections. LWT, 75, 42–50. https://doi.org/10.1016/j.lwt.2016.08.048
