Semiquinone
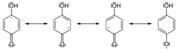
Semiquinones (or ubisemiquinones, if their origin is ubiquinone) are free radicals resulting from the removal of one hydrogen atom with its electron during the process of dehydrogenation of a hydroquinone, such as hydroquinone itself or catechol, to a quinone or alternatively the addition of a single hydrogen atom with its electron to a quinone.[1] Semiquinones are highly unstable.

Resonance isomers of a semiquinone
E.g. ubisemiquinone is the first of two stages in reducing the supplementary form of CoQ10 (ubiquinone) to its active form ubiquinol.
References
- Song, Y; Buettner, GR (Sep 15, 2010). "Thermodynamic and kinetic considerations for the reaction of semiquinone radicals to form superoxide and hydrogen peroxide". Free Radical Biology & Medicine. 49 (6): 919–62. doi:10.1016/j.freeradbiomed.2010.05.009. PMC 2936108. PMID 20493944.
This article is issued from Wikipedia. The text is licensed under Creative Commons - Attribution - Sharealike. Additional terms may apply for the media files.