Staudinger reaction

The Staudinger reaction is a chemical reaction of an organic azide with a phosphine or phosphite produces an iminophosphorane.[1][2] The reaction was discovered by and named after Hermann Staudinger.[3] The reaction follows this stoichiometry:

R3P + R'N3 → R3P=NR' + N2
Staudinger reaction
Named after Hermann Staudinger
Reaction type Organic redox reaction
Identifiers
Organic Chemistry Portal staudinger-reaction
RSC ontology ID RXNO:0000066

Staudinger reduction

The Staudinger reduction is conducted in two steps. First phosphine imine-forming reaction is conducted involving treatment of the azide with the phosphine. The intermediate, e.g. triphenylphosphine phenylimide, is then subjected to hydrolysis to produce a phosphine oxide and an amine:

R3P=NR' + H2O → R3P=O + R'NH2

The overall conversion is a mild method of reducing an azide to an amine. Triphenylphosphine or tributylphosphine are most commonly used, yielding tributylphosphine oxide or triphenylphosphine oxide as a side product in addition to the desired amine. An example of a Staudinger reduction is the organic synthesis of the pinwheel compound 1,3,5-tris(aminomethyl)-2,4,6-triethylbenzene.[4]

Reaction mechanism

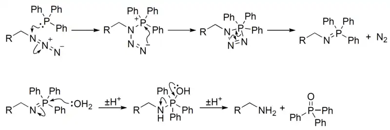
The reaction mechanism centers around the formation of an iminophosphorane through nucleophilic addition of the aryl or alkyl phosphine at the terminal nitrogen atom of the organic azide and expulsion of diatomic nitrogen. The iminophosphorane is then hydrolyzed in the second step to the amine and a phosphine oxide byproduct.

Reaction mechanism of Staudinger reaction and reduction
Reaction mechanism of Staudinger reaction and reduction

Staudinger ligation

Of interest in chemical biology is the Staudinger ligation, which has been called one of the most important bioconjugation methods.[5] Two versions of the Staudinger ligation have been developed. Both begin with the classic iminophosphorane reaction.

In classical Staudinger ligation, the organophosphorus compound becomes incorporated into the peptide. Typically, appended to the organophosphorus component are reporter groups such as fluorophores. In traceless Staudinger ligation, the organophosphorus group dissociates giving a phosphorus-free bioconjugate.

Generic non-traceless Staudinger ligation. The organophosphorus reagent is entrained in the ligated product.
Generic traceless Staudinger ligation. The organophosphorus reagent is not entrained in the ligated product.

References

  1. Gololobov, Y. G. (1981), "Sixty Years of Staudinger Reaction", Tetrahedron, 37 (3): 437–472, doi:10.1016/S0040-4020(01)92417-2
  2. Gololobov, Y. G.; Kasukhin, L. F. (1992), "Recent Advances in the Staudinger Reaction", Tetrahedron, 48 (8): 1353–1406, doi:10.1016/S0040-4020(01)92229-X
  3. Staudinger, H.; Meyer, J. (1919), "Über neue organische Phosphorverbindungen III. Phosphinmethylenderivate und Phosphinimine", Helv. Chim. Acta, 2 (1): 635, doi:10.1002/hlca.19190020164
  4. Karl J. Wallace; Robert Hanes; Eric Anslyn; Jeroni Morey; Kathleen V. Kilway; Jay Siegeld (2005), "Preparation of 1,3,5-Tris(aminomethyl)-2,4,6-triethylbenzene from Two Versatile 1,3,5-Tri(halosubstituted) 2,4,6-Triethylbenzene Derivatives", Synthesis, 2005 (12): 2080, doi:10.1055/s-2005-869963
  5. Bednarek, Christin; Wehl, Ilona; Jung, Nicole; Schepers, Ute; Bräse, Stefan (2020). "The Staudinger Ligation". Chemical Reviews. 120 (10): 4301–4354. doi:10.1021/acs.chemrev.9b00665. PMID 32356973. S2CID 218480283.
  1. Staudinger Reaction at organic-chemistry.org accessed 060906.
  2. Julia-Staudinger Reaction
This article is issued from Wikipedia. The text is licensed under Creative Commons - Attribution - Sharealike. Additional terms may apply for the media files.