Stretched exponential function

The stretched exponential function

Figure 1. Illustration of a stretched exponential fit (with β=0.52) to an empirical master curve. For comparison, a least squares single and a double exponential fit are also shown. The data are rotational anisotropy of anthracene in polyisobutylene of several molecular masses. The plots have been made to overlap by dividing time (t) by the respective characteristic time constant.

is obtained by inserting a fractional power law into the exponential function.

In most applications, it is meaningful only for arguments t between 0 and +∞. With β = 1, the usual exponential function is recovered. With a stretching exponent β between 0 and 1, the graph of log f versus t is characteristically stretched, hence the name of the function. The compressed exponential function (with β > 1) has less practical importance, with the notable exception of β = 2, which gives the normal distribution.

In mathematics, the stretched exponential is also known as the complementary cumulative Weibull distribution. The stretched exponential is also the characteristic function, basically the Fourier transform, of the Lévy symmetric alpha-stable distribution.

In physics, the stretched exponential function is often used as a phenomenological description of relaxation in disordered systems. It was first introduced by Rudolf Kohlrausch in 1854 to describe the discharge of a capacitor;[1] thus it is also known as the Kohlrausch function. In 1970, G. Williams and D.C. Watts used the Fourier transform of the stretched exponential to describe dielectric spectra of polymers;[2] in this context, the stretched exponential or its Fourier transform are also called the Kohlrausch–Williams–Watts (KWW) function. The Kohlrausch–Williams–Watts (KWW) function corresponds to the time domain charge response of the main dielectric models, such as the Cole-Cole equation, the Cole-Davidson equation, and the Havriliak–Negami relaxation, for small time arguments.[3]

In phenomenological applications, it is often not clear whether the stretched exponential function should be used to describe the differential or the integral distribution function—or neither. In each case, one gets the same asymptotic decay, but a different power law prefactor, which makes fits more ambiguous than for simple exponentials. In a few cases,[4][5][6][7] it can be shown that the asymptotic decay is a stretched exponential, but the prefactor is usually an unrelated power.

Mathematical properties

Moments

Following the usual physical interpretation, we interpret the function argument t as time, and fβ(t) is the differential distribution. The area under the curve can thus be interpreted as a mean relaxation time. One finds

where Γ is the gamma function. For exponential decay, τ⟩ = τK is recovered.

The higher moments of the stretched exponential function are[8]

Distribution function

In physics, attempts have been made to explain stretched exponential behaviour as a linear superposition of simple exponential decays. This requires a nontrivial distribution of relaxation times, ρ(u), which is implicitly defined by

Alternatively, a distribution

is used.

ρ can be computed from the series expansion:[9]

For rational values of β, ρ(u) can be calculated in terms of elementary functions. But the expression is in general too complex to be useful except for the case β = 1/2 where

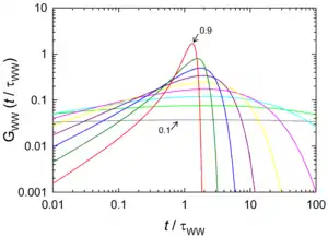
Figure 2 shows the same results plotted in both a linear and a log representation. The curves converge to a Dirac delta function peaked at u = 1 as β approaches 1, corresponding to the simple exponential function.

Figure 2. Linear and log-log plots of the stretched exponential distribution function vs

for values of the stretching parameter β between 0.1 and 0.9.

The moments of the original function can be expressed as

The first logarithmic moment of the distribution of simple-exponential relaxation times is

where Eu is the Euler constant.[10]

Fourier transform

To describe results from spectroscopy or inelastic scattering, the sine or cosine Fourier transform of the stretched exponential is needed. It must be calculated either by numeric integration, or from a series expansion.[11] The series here as well as the one for the distribution function are special cases of the Fox–Wright function.[12] For practical purposes, the Fourier transform may be approximated by the Havriliak–Negami function,[13] though nowadays the numeric computation can be done so efficiently[14] that there is no longer any reason not to use the Kohlrausch–Williams–Watts function in the frequency domain.

History and further applications

As said in the introduction, the stretched exponential was introduced by the German physicist Rudolf Kohlrausch in 1854 to describe the discharge of a capacitor (Leyden jar) that used glass as dielectric medium. The next documented usage is by Friedrich Kohlrausch, son of Rudolf, to describe torsional relaxation. A. Werner used it in 1907 to describe complex luminescence decays; Theodor Förster in 1949 as the fluorescence decay law of electronic energy donors.

Outside condensed matter physics, the stretched exponential has been used to describe the removal rates of small, stray bodies in the solar system,[15] the diffusion-weighted MRI signal in the brain,[16] and the production from unconventional gas wells.[17]

In probability,

If the integrated distribution is a stretched exponential, the normalized probability density function is given by

Note that confusingly some authors have been known to use the name "stretched exponential" to refer to the Weibull distribution.[18]

Modified functions

A modified stretched exponential function

with a slowly t-dependent exponent β has been used for biological survival curves.[19][20]

Wireless Communications

In wireless communications, a scaled version of the stretched exponential function has been shown to appear in the Laplace Transform for the interference power when the transmitters' locations are modeled as a 2D Poisson Point Process with no exclusion region around the receiver.[21]

The Laplace Transform can be written for arbitrary fading distribution as follows:

where is the power of the fading, is the path loss exponent, is the density of the 2D Poisson Point Process, is the Gamma function, and is the expectation of the variable .

The same reference also shows how to obtain the inverse Laplace Transform for the stretched exponential for higher order integer from lower order integers and .

Internet Streaming

The stretched exponential has been used to characterize Internet media accessing patterns, such as YouTube and other stable streaming media sites.[22] The commonly agreed power-law accessing patterns of Web workloads mainly reflect text-based content Web workloads, such as daily updated news sites.

References

  1. Kohlrausch, R. (1854). "Theorie des elektrischen Rückstandes in der Leidner Flasche". Annalen der Physik und Chemie. 91 (1): 56–82, 179–213. Bibcode:1854AnP...167...56K. doi:10.1002/andp.18541670103..
  2. Williams, G. & Watts, D. C. (1970). "Non-Symmetrical Dielectric Relaxation Behavior Arising from a Simple Empirical Decay Function". Transactions of the Faraday Society. 66: 80–85. doi:10.1039/tf9706600080. S2CID 95007734..
  3. Holm, Sverre (2020). "Time domain characterization of the Cole-Cole dielectric model". Journal of Electrical Bioimpedance. 11 (1): 101–105. doi:10.2478/joeb-2020-0015. PMC 7851980. PMID 33584910.
  4. Donsker, M. D. & Varadhan, S. R. S. (1975). "Asymptotic evaluation of certain Markov process expectations for large time". Comm. Pure Appl. Math. 28: 1–47. doi:10.1002/cpa.3160280102.
  5. Takano, H. and Nakanishi, H. and Miyashita, S. (1988). "Stretched exponential decay of the spin-correlation function in the kinetic Ising model below the critical temperature". Phys. Rev. B. 37 (7): 3716–3719. Bibcode:1988PhRvB..37.3716T. doi:10.1103/PhysRevB.37.3716. PMID 9944981.{{cite journal}}: CS1 maint: multiple names: authors list (link)
  6. Shore, John E. and Zwanzig, Robert (1975). "Dielectric relaxation and dynamic susceptibility of a one-dimensional model for perpendicular-dipole polymers". The Journal of Chemical Physics. 63 (12): 5445–5458. Bibcode:1975JChPh..63.5445S. doi:10.1063/1.431279.{{cite journal}}: CS1 maint: multiple names: authors list (link)
  7. Brey, J. J. and Prados, A. (1993). "Stretched exponential decay at intermediate times in the one-dimensional Ising model at low temperatures". Physica A. 197 (4): 569–582. Bibcode:1993PhyA..197..569B. doi:10.1016/0378-4371(93)90015-V.{{cite journal}}: CS1 maint: multiple names: authors list (link)
  8. Gradshteyn, Izrail Solomonovich; Ryzhik, Iosif Moiseevich; Geronimus, Yuri Veniaminovich; Tseytlin, Michail Yulyevich; Jeffrey, Alan (2015) [October 2014]. "3.478.". In Zwillinger, Daniel; Moll, Victor Hugo (eds.). Table of Integrals, Series, and Products. Translated by Scripta Technica, Inc. (8 ed.). Academic Press, Inc. p. 372. ISBN 978-0-12-384933-5. LCCN 2014010276.
  9. Lindsey, C. P. & Patterson, G. D. (1980). "Detailed comparison of the Williams-Watts and Cole-Davidson functions". Journal of Chemical Physics. 73 (7): 3348–3357. Bibcode:1980JChPh..73.3348L. doi:10.1063/1.440530.. For a more recent and general discussion, see Berberan-Santos, M.N., Bodunov, E.N. and Valeur, B. (2005). "Mathematical functions for the analysis of luminescence decays with underlying distributions 1. Kohlrausch decay function (stretched exponential)". Chemical Physics. 315 (1–2): 171–182. Bibcode:2005CP....315..171B. doi:10.1016/j.chemphys.2005.04.006.{{cite journal}}: CS1 maint: multiple names: authors list (link).
  10. Zorn, R. (2002). "Logarithmic moments of relaxation time distributions" (PDF). Journal of Chemical Physics. 116 (8): 3204–3209. Bibcode:2002JChPh.116.3204Z. doi:10.1063/1.1446035.
  11. Dishon et al. 1985.
  12. Hilfer, J. (2002). "H-function representations for stretched exponential relaxation and non-Debye susceptibilities in glassy systems". Physical Review E. 65 (6): 061510. Bibcode:2002PhRvE..65f1510H. doi:10.1103/physreve.65.061510. PMID 12188735. S2CID 16276298.
  13. Alvarez, F., Alegría, A. and Colmenero, J. (1991). "Relationship between the time-domain Kohlrausch-Williams-Watts and frequency-domain Havriliak-Negami relaxation functions". Physical Review B. 44 (14): 7306–7312. Bibcode:1991PhRvB..44.7306A. doi:10.1103/PhysRevB.44.7306. PMID 9998642.{{cite journal}}: CS1 maint: multiple names: authors list (link)
  14. Wuttke, J. (2012). "Laplace–Fourier Transform of the Stretched Exponential Function: Analytic Error Bounds, Double Exponential Transform, and Open-Source Implementation "libkww"". Algorithms. 5 (4): 604–628. arXiv:0911.4796. doi:10.3390/a5040604. S2CID 15030084.
  15. Dobrovolskis, A., Alvarellos, J. and Lissauer, J. (2007). "Lifetimes of small bodies in planetocentric (or heliocentric) orbits". Icarus. 188 (2): 481–505. Bibcode:2007Icar..188..481D. doi:10.1016/j.icarus.2006.11.024.{{cite journal}}: CS1 maint: multiple names: authors list (link)
  16. Bennett, K.; et al. (2003). "Characterization of Continuously Distributed Water Diffusion Rates in Cerebral Cortex with a Stretched Exponential Model". Magn. Reson. Med. 50 (4): 727–734. doi:10.1002/mrm.10581. PMID 14523958.
  17. Valko, Peter P.; Lee, W. John (2010-01-01). "A Better Way To Forecast Production From Unconventional Gas Wells". SPE Annual Technical Conference and Exhibition. Society of Petroleum Engineers. doi:10.2118/134231-ms. ISBN 9781555633004.
  18. Sornette, D. (2004). Critical Phenomena in Natural Science: Chaos, Fractals, Self-organization, and Disorder..
  19. B. M. Weon & J. H. Je (2009). "Theoretical estimation of maximum human lifespan". Biogerontology. 10 (1): 65–71. doi:10.1007/s10522-008-9156-4. PMID 18560989. S2CID 8554128.
  20. B. M. Weon (2016). "Tyrannosaurs as long-lived species". Scientific Reports. 6: 19554. Bibcode:2016NatSR...619554W. doi:10.1038/srep19554. PMC 4726238. PMID 26790747.
  21. Ammar, H. A., Nasser, Y. and Artail, H. (2018). "Closed Form Expressions for the Probability Density Function of the Interference Power in PPP Networks". 2018 IEEE International Conference on Communications (ICC). pp. 1–6. arXiv:1803.10440. doi:10.1109/ICC.2018.8422214. ISBN 978-1-5386-3180-5. S2CID 4374550.{{cite book}}: CS1 maint: multiple names: authors list (link)
  22. Lei Guo, Enhua Tan, Songqing Chen, Zhen Xiao, and Xiaodong Zhang (2008). "The Stretched Exponential Distribution of Internet Media Access Patterns". PODC' 08. pp. 283–294. doi:10.1145/1400751.1400789.{{cite conference}}: CS1 maint: multiple names: authors list (link)
  • J. Wuttke: libkww C library to compute the Fourier transform of the stretched exponential function
This article is issued from Wikipedia. The text is licensed under Creative Commons - Attribution - Sharealike. Additional terms may apply for the media files.