2018 Quebec general election
The 2018 Quebec general election was held on October 1, 2018, to elect members to the National Assembly of Quebec. The election saw a landslide victory for the Coalition Avenir Québec (CAQ) led by François Legault, which won 74 of 125 seats, giving the party a majority and unseating the Quebec Liberal Party. The Liberals became the official opposition with 31 seats.
| |||||||||||||||||||||||||||||||||||||||||||||||||||||||||||||||||||||||||||||
125 seats in the National Assembly of Quebec 63 seats needed for a majority | |||||||||||||||||||||||||||||||||||||||||||||||||||||||||||||||||||||||||||||
|---|---|---|---|---|---|---|---|---|---|---|---|---|---|---|---|---|---|---|---|---|---|---|---|---|---|---|---|---|---|---|---|---|---|---|---|---|---|---|---|---|---|---|---|---|---|---|---|---|---|---|---|---|---|---|---|---|---|---|---|---|---|---|---|---|---|---|---|---|---|---|---|---|---|---|---|---|---|
| Opinion polls | |||||||||||||||||||||||||||||||||||||||||||||||||||||||||||||||||||||||||||||
| Turnout | 66.45% ( | ||||||||||||||||||||||||||||||||||||||||||||||||||||||||||||||||||||||||||||
| |||||||||||||||||||||||||||||||||||||||||||||||||||||||||||||||||||||||||||||
![]() Popular vote by riding. As this is an FPTP election, seat totals are not determined by popular vote, but instead by the result in each riding. Riding names are listed at the bottom. | |||||||||||||||||||||||||||||||||||||||||||||||||||||||||||||||||||||||||||||
| |||||||||||||||||||||||||||||||||||||||||||||||||||||||||||||||||||||||||||||
This election was the first won by the CAQ, which had previously been the third party in the legislature. It was also the first since 1966 that had been won by a party other than the Liberals or Parti Québécois.
Background
In Quebec the Liberal Party had held power since 2003, save for a period of less than two years between 2012 and 2014.
The National Assembly has had a fixed four-year term since passing a fixed election date law in 2013. The law stipulates that "the general election following the end of a Legislature shall be held on the first Monday of October of the fourth calendar year following the year that includes the last day of the previous Legislature",[3] setting the date for October 1, 2018. However, the Chief Electoral Officer could have changed the election date in the event of a natural disaster. Furthermore, the Lieutenant Governor could have called an election sooner should the Premier have requested one, or in the event the government had been dissolved by a motion of no confidence.[4]
Timeline
Party standings
| Party | Party leader | Seats | ||
|---|---|---|---|---|
| 2014 | Dissolution | |||
| Liberal | Philippe Couillard | 70 | 68 | |
| Parti Québécois | Jean-François Lisée | 30 | 28 | |
| Coalition Avenir Québec | François Legault | 22 | 21 | |
| Québec solidaire | Manon Massé | 3 | 3 | |
| Independent | 0 | 5 | ||
| Vacant | 0 | |||
| Total | 125 | 125 | ||
Seat changes (2014–2017)

| Party | Leader | 2014 | Gain/(loss) due to | 2018 | |||||||
|---|---|---|---|---|---|---|---|---|---|---|---|
| Resignation | Resigned from party | Death in office | Withdrawn from caucus | Expulsion | By-election hold | By-election gain | |||||
| Liberal | Philippe Couillard | 70 | (6) | (1) | (2) | 5 | 1 | 67 | |||
| Parti Québécois | Jean-François Lisée | 30 | (5) | (1) | (1) | 5 | 28 | ||||
| Coalition Avenir Québec | François Legault | 22 | (2) | (1) | (1) | 1 | 2 | 21 | |||
| Québec solidaire | Manon Massé | 3 | (1) | 1 | 3 | ||||||
| Independent | — | – | 2 | (1) | 1 | 4 | 6 | ||||
| Total | 125 | (14) | – | (1) | – | – | 12 | 3 | 125 | ||
- also from the position of Minister of Education
- to run for the Conservatives in Louis-Saint-Laurent
- also from the positions of PQ leader and Leader of the Opposition
- also from the position of Opposition House Leader
- also from the position of Minister of Transport, Sustainable Mobility and Transport Electrification
- to seek the Bloc Québécois leadership
Other developments
| Date | Event |
|---|---|
| April 7, 2014 | The Quebec Liberal Party wins a majority government in the 41st Quebec general election, and Philippe Couillard becomes Quebec's Premier-designate. Outgoing Premier Pauline Marois announces her resignation as Parti Québécois leader.[32] |
| April 10, 2014 | The Parti Québécois caucus unanimously approves Stéphane Bédard as interim leader.[33] |
| October 4, 2014 | PQ riding association presidents meet to decide rules and timeline for its leadership race.[34] |
| May 15, 2015 | Pierre Karl Péladeau is elected leader of the Parti Québécois.[35] |
| May 6, 2016 | Sylvain Gaudreault is appointed interim PQ leader. |
| October 7, 2016 | Jean-François Lisée is elected leader of the Parti Québécois. |
| March 24, 2017 | Québec solidaire announces that its party members will vote on a proposition at its party convention in May to begin talks to merge with Option nationale.[36] |
| May 21, 2017 | Manon Massé and Gabriel Nadeau-Dubois are elected as co-spokespersons for Québec solidaire.[37][38] |
| October 5, 2017 | Executives of QS and ON reach an agreement to propose a merger, which has yet to be approved by members/delegates in two special congresses.[39] |
| October 26, 2017 | Guy Ouellette, MNA for Chomedey, withdraws from the caucus of the Liberal Party. He rejoins the caucus on November 21. |
| December 10, 2017 | ON and QS decide to merge: ON's special congress approves merger at 90%, 8 days after QS's special congress approved it at 80%. |
| May 10, 2018 | Paul Busque, MNA for Beauce-Sud, withdraws from the caucus of the Liberal Party during an investigation by the ethics commissioner.[40] On June 15, 2018 he is readmitted into the caucus.[41] |
| August 23, 2018 | Phillippe Couillard goes to see the Lieutenant-Governor and calls the election for October 1, 2018. |
| August 29, 2018 | The 41st Legislature ends.[42] |
| September 13, 2018 | First televised debate (Radio-Canada).[43] |
| September 15, 2018 | Candidate nominations close.[44] |
| September 17, 2018 | Second televised debate (CTV).[45] English debate. |
| September 20, 2018 | Third televised debate (TVA).[46] |
Incumbents not running for reelection
As of September 5, 2018, a total of 45 MNAs elected in 2014 will not run in the 2018 election, of whom 12 resigned[47] from the National Assembly, one died in office and 32 announced that they will not seek re-election[48] including one whose riding was dissolved, and one who got fired.[49] The latter comprise the following:
At the end of his term, Gendron, Dean of the National Assembly, will have served for 41 years and 10 months, representing Abitibi-Ouest for 11 terms.
Campaign
Slogans
| Parties | French | English | Refs |
|---|---|---|---|
| █ Liberal | Pour faciliter la vie des Québécois | "To facilitate the lives of Quebecers" "To make life easier for Quebecers" |
[50][51] |
| █ Parti Québécois | Sérieusement. | "Seriously." | [50][52] |
| █ CAQ | Maintenant. | "Now." | [50][53] |
| █ QC solidaire | Populaires. | "Popular." | [50][54] |
| █ Green | Bien plus qu'une couleur. | "More than just a colour." | [50][55] |
| █ Conservative | Je vote conservateur. | "I vote conservative." | [50][56] |
Issues
The election was believed to be the first in almost half a century that had not been fought on the issue of whether Quebec should stay in Canada. The PQ had promised not to hold another referendum on sovereignty until 2022 at the earliest had it won.[57]
| Issue | QLP | PQ | CAQ | QS |
|---|---|---|---|---|
| Economy and Public Finance |
|
|
|
|
| Immigration |
|
|
|
|
| Health Care |
|
|
|
|
| Education |
|
|
|
|
| Child Care and families |
|
|
|
|
| Identity, diversity, and secularism |
|
|
|
|
| Sovereignty |
|
|
|
|
| Environment |
|
|
|
|
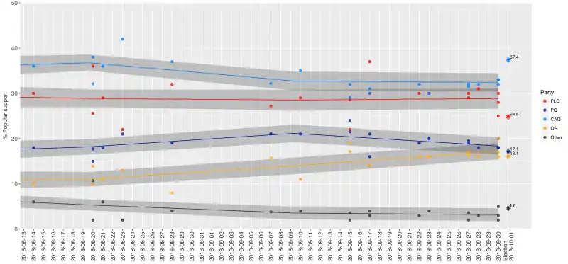
Opinion polls
The CAQ’s landslide victory was, in part, surprising due to the close outcome that was projected by opinion polls during the campaigning period. Although polls estimated a difference of approximately 2% between the PLQ and the CAQ in the days leading up to the election, the results showed a 12.6% gap in voting.[61] Studies suggest that this outcome is the result of an ongoing reconfiguration in Quebec’s electoral system that is shifting from a two-party to a multi-party system, as the vote share for the QLP and the PQ had been on the decline since 2007.[62][63] Additionally, the question of sovereignty, which had previously been a reliable indicator of voting choice[62][64] was replaced by other matters such as identity, immigration, redistribution, and the environment.[62] Research indicates that the polls may have been misled by this change in focus combined with last-minute moves toward the CAQ and the tendency of those who did not disclose their vote to disproportionately vote for the same party.[61] The topic of identity appeared extremely important and was mobilized throughout individuals’ participation with the election campaigns.[65] These findings suggest that the CAQ’s shocking victory was the result of longstanding trends toward a multi-party system and a diversified agenda of topics which were not accurately predicted by the polls.


Candidates
- This table lists the names of the registered candidates as they appear on the official list published by the Chief Electoral Officer.[66] The symbol ‡ indicates incumbent members not running for re-election.
- Abbreviations used in the table: Auto.: Équipe autonomiste. BP: Bloc pot. CAP: Citoyens au pouvoir du Québec. CAQ: Coalition avenir Québec - L'équipe François Legault. CINQ: Changement intégrité pour notre Québec. Conservative or Cons.: Conservative Party of Québec. Cul.: Parti culinaire du Québec. Green: Green Party of Québec. Ind.: Independent candidate. Liberal: Quebec Liberal Party. Marxist–Leninist or ML: Parti marxiste-léniniste du Québec. NDP: Nouveau Parti démocratique du Québec. Nul: Parti nul. PL: Parti libre. PQ: Parti québécois. Prov.: Alliance provinciale du Québec. P51: Parti 51. QS: Québec solidaire. VP: Voie du peuple.[67]
- In this list, electoral districts are grouped by administrative region and regions are listed in the order of their administrative number. (However, some sections of the list group two regions that comprise a small number of districts.) Maps of the regions and the districts they include can be consulted at Élections Quebec.[68]
Bas-Saint-Laurent and Gaspésie–Îles-de-la-Madeleine
| Electoral district | Candidates | Incumbent | ||||||||||
|---|---|---|---|---|---|---|---|---|---|---|---|---|
| Liberal | PQ | CAQ | QS | Other | ||||||||
| Bonaventure | François Whittom | Sylvain Roy | Hélène Desaulniers | Catherine Cyr Wright | Daniel Bouchard (CAP) Guy Gallant (Ind.) Heather Imhoff (Green) |
Sylvain Roy | ||||||
| Côte-du-Sud | Simon Laboissonnière | Michel Forget | Marie-Eve Proulx | Guillaume Dufour | Renaud Blais (Nul) Gabriel Dubé (BP) Marc Roussin (Cons.) |
Norbert Morin ‡[69] | ||||||
| Gaspé | Alexandre Boulay | Méganne Perry-Mélançon | Louis LeBouthillier | Alexis Dumont-Blanchet | Gaétan Lelièvre ‡[70] | |||||||
| Îles-de-la-Madeleine | Maryse Lapierre | Joël Arseneau | Yves Renaud | Robert Boudreau-Welsh | Germain Chevarie ‡[71] | |||||||
| Matane-Matapédia | Annie Fournier | Pascal Bérubé | Mathieu Quenum | Marie-Phare Boucher | Pierre-Luc Coulombe (Green) Jocelyn Rioux (CAP) Paul-Émile Vignola (Cons.) |
Pascal Bérubé | ||||||
| Rimouski | Claude Laroche | Harold LeBel | Nancy Levesque | Carol-Ann Kack | Denis Bélanger (Ind.) Dany Levesque (BP) Alexie Plourde (Green) |
Harold LeBel | ||||||
| Rivière-du-Loup–Témiscouata | Jean D'Amour | Vincent Couture | Denis Tardif | Goulimine Sylvie Cadôret | Martin Perron (Cons.) | Jean D'Amour | ||||||
Saguenay–Lac-Saint-Jean, Côte-Nord and Nord-du-Québec
| Electoral district | Candidates | Incumbent | ||||||||||||
|---|---|---|---|---|---|---|---|---|---|---|---|---|---|---|
| Liberal | PQ | CAQ | QS | Conservative | Other | |||||||||
| Chicoutimi | Marie-Josée Morency | Mireille Jean | Andrée Laforest | Pierre Dostie | Leonard Gagnon | Tommy Philippe (Green) | Mireille Jean | |||||||
| Dubuc | Serge Simard | Marie-Annick Fortin | François Tremblay | Marie Francine Bienvenue | François Pelletier | Line Bélanger (Nul) | Serge Simard | |||||||
| Duplessis | Laurence Méthot | Lorraine Richard | Line Cloutier | Martine Roux | Alexandre Leblanc | Lorraine Richard | ||||||||
| Jonquière | Alexandre Duguay | Sylvain Gaudreault | Benoit Rochefort | Marcel Lapointe | Jimmy Voyer | Julie Sion (Green) | Sylvain Gaudreault | |||||||
| Lac-Saint-Jean | Mathieu Huot | William Fradette | Éric Girard | Manon Girard | Michael Grecoff | Maude Gouin Huot (Auto.) | Alexandre Cloutier ‡[72] | |||||||
| René-Lévesque | Jonathan Lapointe | Martin Ouellet | André Desrosiers | Sandrine Bourque | Eric Barnabé | Martin Ouellet | ||||||||
| Roberval | Philippe Couillard | Thomas Gaudreault | Denise Trudel | Luc-Antoine Cauchon | Carl C. Lamontagne | Julie Boucher (CAP) Lynda Lalancette (Nul) |
Philippe Couillard | |||||||
| Ungava | Jean Boucher | Jonathan Mattson | Denis Lamothe | Alisha Tukkiapik | Alexandre Croteau | Louis R. Couture (NDP)
Cristina Roos (Green) |
Jean Boucher | |||||||
Capitale-Nationale
| Electoral district | Candidates | Incumbent | ||||||||||||||||
|---|---|---|---|---|---|---|---|---|---|---|---|---|---|---|---|---|---|---|
| Liberal | PQ | CAQ | QS | Green | Conservative | NDP | Other | |||||||||||
| Charlesbourg | François Blais | Annie Morin | Jonatan Julien | Élisabeth Germain | Valérie Tremblay | Daniel Pelletier (Auto.) | François Blais | |||||||||||
| Charlevoix–Côte-de-Beaupré | Caroline Simard | Nathalie Leclerc | Émilie Foster | Jessica Crossan | Andréanne Bouchard | Albert Chiasson (CAP) | Caroline Simard | |||||||||||
| Chauveau | Véronyque Tremblay | Jonathan Gagnon | Sylvain Lévesque | Francis Lajoie | Sabir Isufi | Adrien Pouliot | Mona Belleau | Véronyque Tremblay | ||||||||||
| Jean-Lesage | Gertrude Bourdon | Claire Vignola | Christiane Gamache | Sol Zanetti | Alex Paradis-Bellefeuille | Anne Deblois | Raymond Côté | Marie-Pierre Deschênes (CAP) Nicolas Bouffard-Savoie (Auto.) Claude Moreau (ML) Charles Verreault-Lemieux (Nul) |
André Drolet ‡[73] | |||||||||
| Jean-Talon | Sébastien Proulx | Sylvain Barrette | Joëlle Boutin | Patrick Provost | Macarena Diab | Carl Bérubé | Hamid Nadji | Ginette Boutet (ML) Ali Dahan (Ind.) Stéphane Pouleur (Auto.) |
Sébastien Proulx | |||||||||
| La Peltrie | Stéphane Lacasse | Doni Berberi | Éric Caire | Alexandre Jobin-Lawler | Sandra Mara Riedo | Julie Plamondon | Kevin Bouchard (Nul) Yohann Dauphinais (CAP) Josée Mélanie Michaud (Auto.) Stephen Wright (P51) |
Éric Caire | ||||||||||
| Louis-Hébert | Julie-Maude Perron | Normand Beauregard | Geneviève Guilbault | Guillaume Boivin | Daydree Vendette | Natalie Bjerke | Caroline Côté | Vincent Bégin (Ind.) Jean-Luc Rouckout (Auto.) |
Geneviève Guilbault | |||||||||
| Montmorency | Marie France Trudel | Alexandre Huot | Jean-François Simard | Marie-Christine Lamontagne | Nicholas Lescarbeau | Daniel Beaulieu | Jean Bédard (ML) Jean-François Simard (Ind.) |
Raymond Bernier ‡[74] | ||||||||||
| Portneuf | Philippe Gasse | Christian Hébert | Vincent Caron | Odile Pelletier | Guy Morin | Constance Guimont (CAP) | Michel Matte ‡[75] | |||||||||||
| Taschereau | Florent Tanlet | Diane Lavallée | Svetlana Solomykina | Catherine Dorion | Élisabeth Grégoire | Roger Duguay | Christian Lavoie (CAP) Guy Boivin (Auto.) Nicolas Pouliot (Nul) |
Agnès Maltais ‡[76] | ||||||||||
| Vanier-Les Rivières | Patrick Huot | William Duquette | Mario Asselin | Monique Voisine | Samuel Raymond | Alain Fortin | Carl Côté (Ind.) David Dallaire (CAP) Carl-André Poliquin (Nul) |
Patrick Huot | ||||||||||
Mauricie
| Electoral district | Candidates | Incumbent | ||||||||||||||
|---|---|---|---|---|---|---|---|---|---|---|---|---|---|---|---|---|
| Liberal | PQ | CAQ | QS | Green | Conservative | Other | ||||||||||
| Champlain | Pierre-Michel Auger | Gaëtan Leclerc | Sonia LeBel | Steven Roy Cullen | Stéphanie Dufresne | Pierre-Benoit Fortin | Éric Gauthier (Auto.) Anthony Rouss (BP) |
Pierre-Michel Auger | ||||||||
| Laviolette–Saint-Maurice | Pierre Giguère | Jacynthe Bruneau | Marie-Louise Tardif | Christine Cardin | Ugo Hamel | Jacques Gosselin (CAP) | Julie Boulet ‡[77] Laviolette | |||||||||
| Merged riding | ||||||||||||||||
| Pierre Giguère Saint-Maurice | ||||||||||||||||
| Maskinongé | Marc H. Plante | Nicole Morin | Simon Allaire | Simon Piotte | Amélie St-Yves | Maxime Rousseau | Jonathan Beaulieu-Richard (Ind.) Alain Bélanger (CAP) |
Marc H. Plante | ||||||||
| Trois-Rivières | Jean-Denis Girard | Marie-Claude Camirand | Jean Boulet | Valérie Delage | Adis Simidzija | Daniel Hénault | Jean-Denis Girard | |||||||||
Estrie
| Electoral district | Candidates | Incumbent | ||||||||||||||
|---|---|---|---|---|---|---|---|---|---|---|---|---|---|---|---|---|
| Liberal | PQ | CAQ | QS | Green | CAP | Other | ||||||||||
| Mégantic | Robert G. Roy | Gloriane Blais | François Jacques | Andrée Larrivée | Sylvain Dodier | Richard Veilleux | Ghislain Bolduc ‡[78] | |||||||||
| Orford | Guy Madore | Maxime Leclerc | Gilles Bélanger | Annabelle Lalumière-Ting | Stéphanie Desmeules | Tommy Poulin | Joseph Tremblay-Bonsens (Cons.) | Pierre Reid ‡[79] | ||||||||
| Richmond | Annie Godbout | Véronique Vigneault | André Bachand | Colombe Landry | Yves la Madeleine | Déitane Gendron | Karl Brousseau (Cons.) | Karine Vallières ‡[80] | ||||||||
| Saint-François | Charles Poulin | Solange Masson | Geneviève Hébert | Kévin Côté | Mathieu Morin | Cyrille Mc Elreavy | Guy Hardy ‡[81] | |||||||||
| Sherbrooke | Luc Fortin | Guillaume Rousseau | Bruno Vachon | Christine Labrie | Marie-Maud Côté-Rouleau | Éric Lebrasseur | Luc Lainé (Ind.) Mona Louis-Jean (NDP) Sara Richard (Nul) Jossy Roy (BP) Patrick Tétreault (Ind.) |
Luc Fortin | ||||||||
East
| Electoral district | Candidates | Incumbent | ||||||||||||||||
|---|---|---|---|---|---|---|---|---|---|---|---|---|---|---|---|---|---|---|
| Liberal | PQ | CAQ | QS | Green | Conservative | NDP | Other | |||||||||||
| Anjou–Louis-Riel | Lise Thériault | Karl Dugal | Michèle Gamelin | Marie-Josée Forget | Hamza Madani | Vincent Henes | Lise Thériault | |||||||||||
| Bourassa-Sauvé | Paule Robitaille | Karine Gauvin | Julie Séide | Alejandra Zaga Mendez | Karina Barros | Michel Boissonneault | Abed Louis | Jean-François Brunet (BP) Sabrinel Laouadi (CINQ) Jean Marie Floriant Ndzana (Ind.) |
Rita de Santis ‡[82] | |||||||||
| Bourget | Vincent Girard | Maka Kotto | Richard Campeau | Marlène Lessard | Marieke Hassell-Crépeau | Dany Roy (CAP) Claude Brunelle (ML) |
Maka Kotto | |||||||||||
| Gouin | Alessandra Lubrina | Olivier Gignac | Arianne Lebel | Gabriel Nadeau-Dubois | Alice Sécheresse | Jenny Cartwright (Nul) Ana da Silva (BP) |
Gabriel Nadeau-Dubois | |||||||||||
| Hochelaga-Maisonneuve | Julien Provencher-Proulx | Carole Poirier | Sarah Beaumier | Alexandre Leduc | Mathieu Beaudoin | Éric-Abel Baland | Gabriel Boily (CAP) Christine Dandenault (ML) Etienne Mallette (BP) |
Carole Poirier | ||||||||||
| Jeanne-Mance–Viger | Filomena Rotiroti | Marie-Josée Bruneau | Sarah Petrari | Ismaël Seck | Sylvie Hétu | Sylvain Dallaire | Garnet Colly (ML) | Filomena Rotiroti | ||||||||||
| LaFontaine | Marc Tanguay | Claude Gauthier | Loredana Bacchi | David Touchette | Caleb Lavoie | Yves Le Seigle (ML) | Marc Tanguay | |||||||||||
| Laurier-Dorion | George Tsantrizos | Marie-Aline Vadius | Simon Langelier | Andrés Fontecilla | Juan Vazquez | Mohammad Yousuf | Apostolia Petropoulos | Arezki Malek (ML) Mathieu Marcil (Nul) Eric Lessard (CAP) Hugô St-Onge (BP) Chef Jean Louis Thémis (Cul.) |
Gerry Sklavounos ‡[83] | |||||||||
| Maurice-Richard | Marie Montpetit | Frédéric Lapointe | Manon Gauthier | Raphaël Rebelo | Gilles Fournelle | Jean Rémillard | Morgan Ali (BP) Manon Dupuis (Nul) Daniel St-Hilaire (CAP) |
Marie Montpetit | ||||||||||
| Mercier | Gabrielle Collu | Michelle Blanc | Johanne Gagné | Ruba Ghazal | Stephanie Rochemont | Ludovic Proulx | Conrad Thompson | Serge Lachapelle (ML) Malou Marcil (Nul) |
Amir Khadir ‡[84] | |||||||||
| Pointe-aux-Trembles | Eric Ouellette | Jean-Martin Aussant | Chantal Rouleau | Céline Pereira | Louis Chandonnet (Auto.) Geneviève Royer (ML) Pierre Surette (BP) |
Nicole Léger ‡[85] | ||||||||||||
| Rosemont | Agata La Rosa | Jean-François Lisée | Sonya Cormier | Vincent Marissal | Karl Dubois | Alexandra Liendo | Paulina Ayala | Stéphane Chénier (ML) Coralie Laperrière (BP) Catherine Raymond-Poirier (Nul) |
Jean-François Lisée | |||||||||
| Sainte-Marie–Saint-Jacques | Louis Charron | Jennifer Drouin | Anna Klisko | Manon Massé | Anna Calderon | Don Ivanski | Alexis Cossette-Trudel (CAP) Henri Ladouceur (BP) |
Manon Massé | ||||||||||
| Viau | Frantz Benjamin | Mounddy Sanon | Janny Gaspard | Sylvain Lafrenière | Patrick St-Onge | Mamoun Ahmed | Beverly Bernardo (Ind.) Hugo Pépino (BP) |
David Heurtel ‡[86] | ||||||||||
West
| Electoral district | Candidates | Incumbent | ||||||||||||||||
|---|---|---|---|---|---|---|---|---|---|---|---|---|---|---|---|---|---|---|
| Liberal | PQ | CAQ | QS | Green | Conservative | NDP | Other | |||||||||||
| Acadie | Christine St-Pierre | Farida Sam | Sophie Chiasson | Viviane Martinova-Croteau | Laurence Sicotte | Jocelyn Chouinard | Michel Welt | Yvon Breton (ML) | Christine St-Pierre | |||||||||
| D'Arcy-McGee | David Birnbaum | Eliane Pion | Mélodie Cohn | Jean-Claude Kumuyange | Jérémie Alarco | Yaniv Loran | Leigh Smit | Diane Johnston (ML) | David Birnbaum | |||||||||
| Jacques-Cartier | Greg Kelley | Martine Bourgeois | Karen Hilchey | Nicolas Chatel-Launay | Catherine Polson | Louis-Charles Fortier | France Séguin | Cynthia Bouchard (CAP) Teodor Daiev (Ind.) |
Geoffrey Kelley ‡[87] | |||||||||
| Marguerite-Bourgeoys | Hélène David | Jeannot Desbiens | Vicky Michaud | Camille St-Laurent | Smail Louardiane | Nashaat Elsayed | Robert Poëti ‡[88] | |||||||||||
| Marquette | Enrico Ciccone | Carole Vincent | Marc Hétu | Anick Perreault | Kimberly Salt | Olivia Boye | John Symon | Roger Déry (Ind.) Patrick Desjardins (CAP) |
François Ouimet ‡[89] | |||||||||
| Mont-Royal–Outremont | Pierre Arcand | Caroline Labelle | Anne-Marie Gagnon | Eve Torres | Vincent J. Carbonneau | Yaakov Pollak | Rebecca Anne Clark | Normand Fournier (ML) | Pierre Arcand Mont-Royal | |||||||||
| Merged riding | ||||||||||||||||||
| Hélène David Outremont | ||||||||||||||||||
| Nelligan | Monsef Derraji | Chantal Legendre | Angela Rapoport | Simon Tremblay-Pepin | Giuseppe Cammarrota | Mathew Levitsky-Kaminski | Leslie Eric Murphy | Martin Coiteux ‡[90] | ||||||||||
| Notre-Dame-de-Grâce | Kathleen Weil | Lucie Bélanger | Nathalie Dansereau | Kathleen Gudmundsson | Chad Walcott | Souhail Ftouh | David-Roger Gagnon | Rachel Hoffman (ML) Cynthia Nichols (Ind.) |
Kathleen Weil | |||||||||
| Robert-Baldwin | Carlos J. Leitão | Marie-Imalta Pierre-Lys | Laura Azéroual | Zachary Williams | Catherine Richardson | Michael-Louis Coppa | Luca Brown | Carlos Leitão | ||||||||||
| Saint-Henri–Sainte-Anne | Dominique Anglade | Dieudonné Ella-Oyono | Sylvie Hamel | Benoit Racette | Jean-Pierre Duford | Caroline Orchard | Steven Scott | Félix Gagnon-Paquin (BP) Linda Sullivan (ML) Christopher Young (CINQ) |
Dominique Anglade | |||||||||
| Saint-Laurent | Marwah Rizqy | Elias Dib Nicolas | Marc Baaklini | Marie Josèphe Pigeon | Halimatou Bah | Guy Morissette | Jacques Dago | Fernand Deschamps (ML) | Jean-Marc Fournier ‡[91] | |||||||||
| Verdun | Isabelle Melançon | Constantin Fortier | Nicole Leduc | Vanessa Roy | Alex Tyrrell | Yedidya-Eitan Moryoussef | Raphaël Fortin | Marc-André Milette (Nul) Hugo Richard (BP) Eileen Studd (ML) |
Isabelle Melançon | |||||||||
| Westmount–Saint-Louis | Jennifer Maccarone | J. Marion Benoit | Michelle Morin | Ekaterina Piskunova | Samuel Dajakran Kuhn | Mikey Colangelo Lauzon | Nicholas Peter Lawson | Jacques Chagnon ‡[92] | ||||||||||
Outaouais and Abitibi-Témiscamingue
| Electoral district | Candidates | Incumbent | ||||||||||||||||
|---|---|---|---|---|---|---|---|---|---|---|---|---|---|---|---|---|---|---|
| Liberal | PQ | CAQ | QS | Green | Conservative | CAP | Other | |||||||||||
| Abitibi-Est | Guy Bourgeois | Élizabeth Larouche | Pierre Dufour | Lyne Cyr | Mélina Paquette | Éric Caron | Guy Bourgeois | |||||||||||
| Abitibi-Ouest | Martin Veilleux | Sylvain Vachon | Suzanne Blais | Rose Marquis | Yan Dominic Couture | Eric Lacroix | Stéphane Lévesque | Maxim Sylvestre (Ind.) | François Gendron ‡[85] | |||||||||
| Rouyn-Noranda–Témiscamingue | Luc Blanchette | Gilles Chapadeau | Jérémy G. Bélanger | Émilise Lessard-Therrien | Jessica Wells | Guillaume Lanouette | Fernand St-Georges | Luc Blanchette | ||||||||||
| Electoral district | Candidates | Incumbent | ||||||||||||||||
|---|---|---|---|---|---|---|---|---|---|---|---|---|---|---|---|---|---|---|
| Liberal | PQ | CAQ | QS | Green | Conservative | Marxist-Leninist | Other | |||||||||||
| Chapleau | Marc Carrière | Blake Ippersiel | Mathieu Lévesque | Alexandre Albert | Rowen Tanguay | Françoise Roy | Marc Carrière | |||||||||||
| Gatineau | Luce Farrell | Jonathan Carreiro-Benoit | Robert Bussière | Milan Bernard | Jasper Boychuk | Mario Belec | Alexandre Deschênes | Stéphanie Vallée ‡[93] | ||||||||||
| Hull | Maryse Gaudreault | Marysa Nadeau | Rachel Bourdon | Benoit Renaud | Patricia Pilon | Jean-Philippe Chaussé | Pierre Soublière | Marco Jetté (CAP) Nichola St-Jean (NDP) |
Maryse Gaudreault | |||||||||
| Papineau | Alexandre Iracà | Yves Destroismaisons | Mathieu Lacombe | Mélanie Pilon-Gauvin | Michel Tardif | Joanne Godin | Lynn Boyer (CAP) Claude Flaus (P51) Isabelle Yde (Nul) |
Alexandre Iracà | ||||||||||
| Pontiac | André Fortin | Marie-Claire Nivolon | Olive Kamanyana | Julia Wilkie | Roger Fleury | Kenny Roy | Louis Lang | Samuel Gendron (NDP) | André Fortin | |||||||||
Chaudière-Appalaches
| Electoral district | Candidates | Incumbent | ||||||||||||||||
|---|---|---|---|---|---|---|---|---|---|---|---|---|---|---|---|---|---|---|
| Liberal | PQ | CAQ | QS | Green | Conservative | CAP | Other | |||||||||||
| Beauce-Nord | Myriam Taschereau | Daniel Perron | Luc Provençal | Fernand Dorval | Isabelle Villeneuve | Nicole Goulet | André Spénard ‡[94] | |||||||||||
| Beauce-Sud | Paul Busque | Guillaume Grondin | Samuel Poulin | Diane Vincent | Cassandre Poulin | Milan Jovanovic | Jean Paquet | Hans Mercier (P51) | Paul Busque | |||||||||
| Bellechasse | Dominique Vien | Benoît Béchard | Stéphanie Lachance | Benoit Comeau | Dominique Messner | Simon Guay (BP) Sébastien Roy (Prov.) |
Dominique Vien | |||||||||||
| Chutes-de-la-Chaudière | Ghyslain Vaillancourt | Serge Bonin | Marc Picard | Olivier Bolduc | Philippe Gaboury | Stéphane Blais | Evelyne Henry (NDP) | Marc Picard | ||||||||||
| Lévis | Abdulkadir Abkey | Pierre-Gilles Morel | François Paradis | Georges Goma | Maude Bussière | Michel Walters | Nancy Fournier | Lorraine Chartier (NDP) Stéphane L'heureux-Blouin (BP) |
François Paradis | |||||||||
| Lotbinière-Frontenac | Pierre-Luc Daigle | Yohann Beaulieu | Isabelle Lecours | Normand Beaudet | Marie-Claude Dextraze | Réjean Labbé | Yves Roy | Daniel Croteau (P51) | Laurent Lessard ‡[95] | |||||||||
Centre-du-Québec
| Electoral district | Candidates | Incumbent | ||||||||||||||||
|---|---|---|---|---|---|---|---|---|---|---|---|---|---|---|---|---|---|---|
| Liberal | PQ | CAQ | QS | Green | Conservative | CAP | Other | |||||||||||
| Arthabaska | Pierre Poirier | Jacques Daigle | Éric Lefebvre | William Champigny-Fortier | Jean-Charles Pelland | Lisette Guay Gaudreault | Jean Landry (Prov.) | Éric Lefebvre | ||||||||||
| Drummond–Bois-Francs | Kevin Deland | Diane Roy | Sébastien Schneeberger | Lannïck Dinard | François Picard | Sylvain Marcoux (Ind.) Steve Therion (Auto.) |
Sébastien Schneeberger | |||||||||||
| Johnson | François Vaes | Jacques Tétreault | André Lamontagne | Sarah Saint-Cyr Lanoie | Émile Coderre | Jean-François Vignola | Yves Audet | Andrew Leblanc-Marcil (NDP) | André Lamontagne | |||||||||
| Nicolet-Bécancour | Marie-Claude Durand | Lucie Allard | Donald Martel | François Poisson | Vincent Marcotte | Jessie Mc Nicoll | Blak D. Blackburn (BP) | Donald Martel | ||||||||||
Laval
| Electoral district | Candidates | Incumbent | ||||||||||||||||
|---|---|---|---|---|---|---|---|---|---|---|---|---|---|---|---|---|---|---|
| Liberal | PQ | CAQ | QS | Green | Conservative | NDP | Other | |||||||||||
| Chomedey | Guy Ouellette | Ouerdia Nacera Beddad | Alice Abou-Khalil | Rabah Moulla | Fatine Kabbaj | Nick Keramarios | Omar El-Harrache | Guy Ouellette | ||||||||||
| Fabre | Monique Sauvé | Odette Lavigne | Adriana Dudas | Nora Yata | David Gilbert-Parisée | Juliett Zuniga Lopez | Karim Mahmoodi | Monique Sauvé | ||||||||||
| Laval-des-Rapides | Saul Polo | Jocelyn Caron | Christine Mitton | Graciela Mateo | Estelle Obeo | Benoit Larocque | Jean Phariste Pharicien | Bianca Bozsodi (CAP) Elias Progakis (PL) |
Saul Polo | |||||||||
| Mille-Îles | Francine Charbonneau | Michel Lachance | Mauro Barone | Jean Trudelle | Alain Joseph | Dwayne Cappelletti (PL) Jason D'Aoust (BP) |
Francine Charbonneau | |||||||||||
| Sainte-Rose | Jean Habel | Marc-André Constantin | Christopher Skeete | Simon Charron | Caroline Bergevin | Benoit Blanchard | Alain Giguère | Valérie Louis-Charles (CINQ) | Jean Habel | |||||||||
| Vimont | Jean Rousselle | Sylvie Moreau | Michel Reeves | Caroline Trottier-Gascon | Mélanie Messier | Rachel Landerman | Andriana Kocini | Jean-Marc Boyer (Ind.) Rachel Demers (CAP) |
Jean Rousselle | |||||||||
Lanaudière
| Electoral district | Candidates | Incumbent | ||||||||||||||
|---|---|---|---|---|---|---|---|---|---|---|---|---|---|---|---|---|
| Liberal | PQ | CAQ | QS | Green | Conservative | CAP | ||||||||||
| Berthier | Robert Magnan | André Villeneuve | Caroline Proulx | Louise Beaudry | Jérôme St-Jean | Rémi Bourdon | André Villeneuve | |||||||||
| Joliette | Emilie Imbeault | Véronique Hivon | François St-Louis | Judith Sicard | Étienne St-Jean | Sébastien Dupuis | Véronique Hivon | |||||||||
| L'Assomption | Virginie Bouchard | Sylvie Langlois Brouillette | François Legault | Marie-Claude Brière | Eve Bellavance | Charles-Etienne Everitt-Raynault | Sylvie Tougas | François Legault | ||||||||
| Masson | Maryanne Beauchamp | Diane Gadoury Hamelin | Mathieu Lemay | Stéphane Durupt | Véronique Dubois | David Morin | Mathieu Lemay | |||||||||
| Repentigny | Emilie Therrien | Eric Tremblay | Lise Lavallée | Olivier Huard | Chafika Hebib | Pierre Lacombe | Julie Girard | Lise Lavallée | ||||||||
| Rousseau | Patrick Watson | Nicolas Marceau | Louis-Charles Thouin | Hélène Dubé | Richard Evanko | Michel Lacasse | Nicolas Marceau | |||||||||
| Terrebonne | Margaux Selam | Mathieu Traversy | Pierre Fitzgibbon | Anne B-Godbout | Carole Dubois | Jules Néron | Mathieu Goyette | Mathieu Traversy | ||||||||
Laurentides
| Electoral district | Candidates | Incumbent | ||||||||||||||||
|---|---|---|---|---|---|---|---|---|---|---|---|---|---|---|---|---|---|---|
| Liberal | PQ | CAQ | QS | Green | Conservative | CAP | Other | |||||||||||
| Argenteuil | Bernard Bigras-Denis | Patrick Côté | Agnès Grondin | Céline Lachapelle | Carole Thériault | Sherwin Edwards | Louise Wiseman | Stéphanie Boyer (PL) Yves St-Denis (Ind.) |
Yves St-Denis | |||||||||
| Bertrand | Diane de Passillé | Gilbert Lafrenière | Nadine Girault | Mylène Jaccoud | Natacha Alarie | Kathy Laframboise | Benoît Pigeon | Benoit Martin (PL) | Claude Cousineau ‡[85] | |||||||||
| Blainville | Lucia Carvalho | Gabriel Gousse | Mario Laframboise | William Lepage | Valérie Fortier | Jean Bastien | Thierry Gervais (NDP) | Mario Laframboise | ||||||||||
| Deux-Montagnes | Fabienne Fatou Diop | Daniel Goyer | Benoit Charette | Audrey Lesage-Lanthier | Isabelle Dagenais | Delia Fodor | Denis Paré | Martin Brulé (PL) Eric Emond (CINQ) Hans Roker Jr (BP) |
Benoit Charette | |||||||||
| Groulx | Sabrina Chartrand | Jean-Philippe Meloche | Eric Girard | Fabien Torres | Robin Dick | Vincent Aubé | Chantal Lavoie | Claude Surprenant (Ind.) | Claude Surprenant | |||||||||
| Labelle | Nadine Riopel | Sylvain Pagé | Chantale Jeannotte | Gabriel Dagenais | René Fournier | Francis Brosseau | Régis Ostigny | Sylvain Pagé | ||||||||||
| Les Plaines | Vincent Orellana-Pepin | Marc-Olivier Leblanc | Lucie Lecours | Kévin St-Jean | Boris Geynet | Mathieu Laliberté | Mathieu Stevens (PL) | New district | ||||||||||
| Mirabel | Camille Arsenault Brideau | Denise Beaudoin | Sylvie D'Amours | Marjolaine Goudreau | Émilie Paiement | Désiré Mounanga | Vincent Laurin (BP) Patricia Vaca (CINQ) |
Sylvie D'Amours | ||||||||||
| Prévost | Naömie Goyette | Paul St-Pierre Plamondon | Marguerite Blais | Lucie Mayer | Malcolm Mulcahy | Michel Leclerc (PL) | New district | |||||||||||
| Saint-Jérôme | Antoine Poulin | Marc Bourcier | Youri Chassin | Ève Duhaime | Annabelle Desrochers | Normand Michaud | Sylvie Brien | Christine Simon (NDP) Giuseppe Starnino (PL) |
Marc Bourcier | |||||||||
Eastern
| Electoral district | Candidates | Incumbent | ||||||||||||||||
|---|---|---|---|---|---|---|---|---|---|---|---|---|---|---|---|---|---|---|
| Liberal | PQ | CAQ | QS | Green | Conservative | NDP | Other | |||||||||||
| Borduas | Martin Nichols | Cédric G.-Ducharme | Simon Jolin-Barrette | Annie Desharnais | Nicolas Gravel | André Lecompte | André Martin | Razz E. (BP) Stéphane Thévenot (CAP) |
Simon Jolin-Barrette | |||||||||
| Brome-Missisquoi | Ingrid Marini | Andréanne Larouche | Isabelle Charest | Alexandre Legault | Elisabeth Dionne | Marc Alarie (VP) Manon Gamache (CAP) |
Pierre Paradis ‡[96] | |||||||||||
| Chambly | François Villeneuve | Christian Picard | Jean-François Roberge | Francis Vigeant | Camille B. Jannard | Guy L'Heureux | Gilles Létourneau | Gilles Guindon (CINQ) Benjamin Vachon (BP) |
Jean-François Roberge | |||||||||
| Granby | Lyne Laverdure | Chantal Beauchemin | François Bonnardel | Anne-Sophie Legault | Daphné Poulin | Pierre Bélanger | Stéphane Deschamps (Nul) Kevin Robidas (BP) |
François Bonnardel | ||||||||||
| Iberville | Mylène Gaudreau | Nicolas Dionne | Claire Samson | Philippe Jetten-Vigeant | Michelle Kolatschek | Serge Benoit | Marc-André Renaud | Dany Desjardins (BP) | Claire Samson | |||||||||
| Richelieu | Sophie Chevalier | Sylvain Rochon | Jean-Bernard Émond | Sophie Pagé-Sabourin | Ksenia Svetoushkina | Patrick Corriveau | Sylvain Rochon | |||||||||||
| Saint-Hyacinthe | Annie Pelletier | Daniel Breton | Chantal Soucy | Marijo Demers | Luc Chulak | Chantal Soucy | ||||||||||||
| Saint-Jean | Vanessa Parent | Dave Turcotte | Louis Lemieux | Simon Lalonde | Véronique Langlois | Philippe Perreault | Geneviève Ruel | Louis Saint-Jacques (CAP) | Dave Turcotte | |||||||||
| Verchères | Agnieszka Wnorowska | Stéphane Bergeron | Suzanne Dansereau | Jean-René Péloquin | Pierre-Olivier Downey | Lisette Benoit | Vincent Hillel | Stéphane Bergeron | ||||||||||
South Shore
| Electoral district | Candidates | Incumbent | ||||||||||||||||
|---|---|---|---|---|---|---|---|---|---|---|---|---|---|---|---|---|---|---|
| Liberal | PQ | CAQ | QS | Green | Conservative | NDP | Other | |||||||||||
| Beauharnois | Félix Rhéaume | Mireille Théorêt | Claude Reid | Pierre-Paul St-Onge | Yannick Campeau | François Mantion | Tommy Mathieu (CAP) | Guy Leclair ‡[97] | ||||||||||
| Châteauguay | Pierre Moreau | Jean-Philippe Thériault | MarieChantal Chassé | Sandrine Garcia-McDiarmid | Stephanie Stevenson | Jeff Benoit | Marie-Ève Masucci-Lauzon | Pierre Moreau | ||||||||||
| Huntingdon | Stéphane Billette | Huguette Hébert | Claire IsaBelle | Aiden Hodgins-Ravensbergen | Victoria Mary Haliburton | Jérémie Ouellette | Charles Orme | Stéphane Billette | ||||||||||
| La Pinière | Gaétan Barrette | Suzanne Gagnon | Sylvia Baronian | Marie Pagès | Aziza Dini | Anwar El Youbi | Djaouida Sellah | Patrick Hayes (Ind.) Fang Hu (Ind.) |
Gaétan Barrette | |||||||||
| Laporte | Nicole Ménard | Annie Lessard | Jacinthe-Eve Arel | Claude Lefrançois | Sabrina Huet-Côté | Linda Therrien | Marc André Audet | Nicole Ménard | ||||||||||
| La Prairie | Richard Merlini | Cathy Lepage | Christian Dubé | Daniel Blouin | Alexandre Caron | Alain Desmarais | Boukare Tall | Normand Chouinard (ML) Liana Minato (P51) |
Richard Merlini | |||||||||
| Marie-Victorin | Sonia Ziadé | Catherine Fournier | Martyne Prévost | Carl Lévesque | Laeticia Poiré-Hill | Myriam de Grandpré-Ruel | Shirley Cedent (CINQ) Pierre Chénier (ML) Florent Portron (Auto.) |
Catherine Fournier | ||||||||||
| Montarville | Ludovic Grisé Farand | Daniel Michelin | Nathalie Roy | Caroline Charette | Lise Roy | Jean Dury (BP) | Nathalie Roy | |||||||||||
| Sanguinet | Marcelina Jugureanu | Alain Therrien | Danielle McCann | Maya Fréchette-Bonnier | Antonino Geraci | Nikolai Grigoriev | Hélène Héroux (ML) | Alain Therrien | ||||||||||
| Soulanges | Lucie Charlebois | Samuelle Ducrocq-Henry | Marilyne Picard | Maxime Larue-Bourdages | Bianca Jitaru | Felice Trombino | Etienne Madelein | Jean-Patrick Berthiaume (BP) Patrick Marquis (Auto.) Dominik Prud'homme (CAP) |
Lucie Charlebois | |||||||||
| Taillon | Mohammed Barhone | Diane Lamarre | Lionel Carmant | Manon Blanchard | Mel-Lyna Cadieux Walker | Gerardin Verty | Jonathan Leduc | Diane Lamarre | ||||||||||
| Vachon | Linda Caron | Patrick Ney | Ian Lafrenière | André Vincent | Lise des Greniers | Ian Lecourtois | Hugo Bluntss (BP) Stéphane Marginean (CAP) |
Martine Ouellet ‡ | ||||||||||
| Vaudreuil | Marie-Claude Nichols | Philip Lapalme | Claude Bourbonnais | Igor Erchov | Jason Mossa | Ryan Robertson | Ryan Young | Camille Piché-Jetté (BP) Daniel Pilon (CAP) |
Marie-Claude Nichols | |||||||||
Results
The CAQ went into the election as the third party in the legislature, but won a decisive victory with 74 seats, exceeding all published opinion polling. The Liberals won 31 seats, while Québec solidaire and the Parti Québécois each won 10 seats.[98] This is the second election in a row in which a government has been defeated after only one term.
The CAQ formed government for the first time, mainly by dominating its traditional heartlands of Capitale-Nationale, Chaudière-Appalaches and Centre-du-Québec, while winning sweeps or near-sweeps in Mauricie, Estrie, Lanaudière, Montérégie, the Laurentides and northern Quebec. Many of their gains came at the expense of the PQ. The CAQ took a number of seats that had been in PQ hands for four decades or more, in some cases by landslide margins. It did, however, win only two seats in Montreal.
The Parti Québécois came up two seats short of official status in the legislature. Notably, it was completely shut out in Montreal for the first time in decades; indeed, it won only one seat (Marie-Victorin in Longueuil) in the entire Greater Montreal area. It was easily the PQ's worst showing in a provincial election in 45 years. For the second election in a row, its leader was unseated in his own riding. According to a postmortem by The Globe and Mail, the PQ was so decisively beaten that there were already questions about whether it could survive.[99] Echoing this, Christian Bourque of Montreal-based pollster Léger Marketing told The Guardian that he believed the PQ was likely finished in its present form, and would have to merge with another sovereigntist party to avoid fading into irrelevance.[100]
The election was viewed as the Liberals' worst defeat since the 1976 election. While the party more than held its own in Montreal (where it won 19 out of 27 seats) and Laval (where it retained all but one seat), it only won seven seats elsewhere.
This was the first election in which Québec Solidaire won seats outside Montreal, taking one seat from the PQ and three from the Liberals.
The CAQ won 37.4 percent of the popular vote, a smaller vote share than the Liberals' 41 percent in 2014 and the lowest vote share on record for a party winning a majority government.[101] However, due to the nature of the first-past-the-post system, which awards power solely on the basis of seats won, the CAQ's heavy concentration of support in the regions they dominated was enough for a strong majority of 11 seats. Quebec elections have historically seen large disparities between the raw vote and the actual seat count.
Following the elections, both Jean-François Lisée and Philippe Couillard resigned.
| Political party[103] | Party leader | MNAs | Votes | ||||||||
|---|---|---|---|---|---|---|---|---|---|---|---|
| Candidates | 2014 | Dissol. | 2018 | ± | # | ± | % | ± (pp) | |||
| Coalition Avenir Québec | François Legault | 125 | 22 | 21 | 74 | 53 |
1,509,455 | 533,848 |
37.42 | 14.37 | |
| Liberal | Philippe Couillard | 125 | 70 | 68 | 31 | 37 |
1,001,037 | 756,034 |
24.82 | 16.70 | |
| Parti Québécois | Jean-François Lisée | 125 | 30 | 28 | 10 | 18 |
687,995 | 386,125 |
17.06 | 8.32 | |
| Québec solidaire | Manon Massé, Gabriel Nadeau-Dubois | 125 | 3 | 3 | 10 | 7 |
649,503 | 326,379 |
16.10 | 8.47 | |
| Independent | 21 | – | 5 | – | 5 |
6,462 | 8,899 |
0.16 | 0.20 | ||
| Green | Alex Tyrrell | 97 | – | – | – | – | 67,870 | 44,707 |
1.68 | 1.13 | |
| Conservative | Adrien Pouliot | 101 | – | – | – | – | 59,055 | 42,626 |
1.46 | 1.07 | |
| New Democratic | Raphaël Fortin | 59 | – | – | – | – | 22,863 | New | 0.57 | New | |
| Citoyens au pouvoir du Québec | Stéphane Blais (intérim) | 56 | – | – | – | – | 13,768 | 12,477 |
0.34 | 0.31 | |
| Bloc Pot | Jean-Patrick Berthiaume | 29 | – | – | – | – | 4,657 | 1,967 |
0.12 | 0.06 | |
| Parti nul | Renaud Blais | 16 | – | – | – | – | 3,659 | 3,880 |
0.09 | 0.03 | |
| Marxist–Leninist | Pierre Chénier | 25 | – | – | – | – | 1,708 | 308 |
0.04 | 0.01 | |
| Parti libre | Michel Leclerc | 8 | – | – | – | – | 1,678 | New | 0.04 | New | |
| Équipe Autonomiste | Stéphane Pouleur | 12 | – | – | – | – | 1,138 | 738 |
0.03 | 0.02 | |
| Parti 51 | Hans Mercier | 5 | – | – | – | – | 1,117 | New | 0.03 | New | |
| Changement intégrité pour notre Québec | Eric Emond | 7 | – | – | – | – | 693 | New | 0.02 | New | |
| Alliance provinciale | Sébastien Roy | 2 | – | – | – | – | 521 | New | 0.01 | New | |
| Voie du peuple | Marc Alarie | 1 | – | – | – | – | 190 | New | – | New | |
| Parti culinaire | Jean-Louis Thémistocle | 1 | – | – | – | – | 169 | New | – | New | |
| Option nationale | n/a | Merged with QS | 0.73 | ||||||||
| Parti équitable | Patricia Domingos | – | – | – | – | – | did not campaign | 0.04 | |||
| Mon pays le Québec | n/a | Party dissolved | 0.01 | ||||||||
| Unité Nationale | n/a | Party dissolved | 0.01 | ||||||||
| Quebec – Democratic Revolution | n/a | Party dissolved | – | ||||||||
| Parti indépendantiste | n/a | Party dissolved | – | ||||||||
| Quebec Citizens' Union | n/a | Party dissolved | – | ||||||||
| Total | 940 | 125 | 125 | 125 | 4,033,538 | 198,724 |
|||||
| Rejected ballots | 66,085 | 3,292 |
|||||||||
| Voter turnout | 4,099,623 | 195,432 |
66.45% | 4.99 | |||||||
| Registered electors | 6,169,772 | 157,282 |
|||||||||
Summary analysis
| Party | 2014 | Gain from (loss to) | 2018 | ||||||||||
|---|---|---|---|---|---|---|---|---|---|---|---|---|---|
| CAQ | Lib | PQ | QS | New riding |
Dissolved riding | ||||||||
| Coalition Avenir Québec | 22 | 31 | 18 | 3 | 74 | ||||||||
| Liberal | 70 | (31) | (1) | (4) | 1 | (4) | 31 | ||||||
| Parti Québécois | 30 | (18) | 1 | (3) | 10 | ||||||||
| Québec solidaire | 3 | 4 | 3 | 10 | |||||||||
| Total | 125 | – | (49) | 36 | – | 21 | (1) | – | (7) | 4 | (4) | 125 | |
| Source | Party | |||||
|---|---|---|---|---|---|---|
| CAQ | Lib | PQ | QS | Total | ||
| Seats retained | Incumbents returned | 18 | 22 | 8 | 2 | 50 |
| Open seats held | 2 | 8 | 1 | 1 | 12 | |
| Byelection loss reversed | 1 | 1 | ||||
| Seats changing hands | Incumbents defeated | 33 | 4 | 37 | ||
| Open seats gained | 16 | 1 | 3 | 20 | ||
| Byelection gain held | 1 | 1 | ||||
| New ridings | Incumbent from dissolved riding returned | 1 | 1 | |||
| Former MNA returned | 1 | 1 | ||||
| New MNAs | 2 | 2 | ||||
| Total | 74 | 31 | 10 | 10 | 125 | |
Synopsis of riding results
| 2018 Quebec general election - synopsis of riding results, grouped by region[a 1] | ||||||||||||||||||
|---|---|---|---|---|---|---|---|---|---|---|---|---|---|---|---|---|---|---|
| Riding | 2014 | Winning party | Turnout [a 2] |
Votes[a 3] | ||||||||||||||
| Party | Votes | Share | Margin # |
Margin % |
CAQ | Lib | PQ | QS | Green | Cons | Ind | Other | Total | |||||
| Abitibi-Témiscamingue | ||||||||||||||||||
| Abitibi-Est | Lib | CAQ | 8,967 | 42.7% | 4,877 | 23.2% | 63.8% | 8,967 | 3,936 | 4,090 | 3,287 | 356 | – | – | 355 | 20,991 | ||
| Abitibi-Ouest | PQ | CAQ | 7,680 | 34.1% | 194 | 0.9% | 64.8% | 7,680 | 2,546 | 7,486 | 3,735 | 254 | 248 | 172 | 388 | 22,509 | ||
| Rouyn-Noranda–Témiscamingue | Lib | QS | 9,304 | 32.1% | 506 | 1.8% | 65.6% | 8,798 | 4,753 | 5,311 | 9,304 | 389 | 253 | – | 195 | 29,003 | ||
| Bas-Saint-Laurent | ||||||||||||||||||
| Matane-Matapédia | PQ | PQ | 20,658 | 69.5% | 17,279 | 58.1% | 65.4% | 3,379 | 3,351 | 20,658 | 1,718 | 358 | 159 | – | 118 | 29,741 | ||
| Rimouski | PQ | PQ | 13,940 | 43.9% | 6,037 | 19.0% | 70.3% | 7,903 | 3,914 | 13,940 | 5,531 | 220 | – | 123 | 106 | 31,737 | ||
| Rivière-du-Loup–Témiscouata | Lib | CAQ | 13,439 | 39.2% | 1,962 | 5.7% | 69.4% | 13,439 | 11,477 | 5,230 | 3,783 | – | 373 | – | – | 34,302 | ||
| Capitale-Nationale | ||||||||||||||||||
| Charlesbourg | Lib | CAQ | 19,985 | 48.1% | 10,666 | 25.7% | 73.4% | 19,985 | 9,319 | 4,868 | 5,613 | – | 1,530 | – | 212 | 41,527 | ||
| Charlevoix–Côte-de-Beaupré | Lib | CAQ | 15,761 | 37.1% | 1,121 | 3.4% | 63.9% | 15,761 | 11,138 | 4,055 | 4,236 | 624 | 458 | – | 310 | 36,582 | ||
| Chauveau | CAQ | CAQ | 18,424 | 47.1% | 9,627 | 24.6% | 70.8% | 18,424 | 8,797 | 3,603 | 4,052 | 613 | 3,371 | – | 286 | 39,146 | ||
| Jean-Lesage | Lib | QS | 10,331 | 34.7% | 699 | 2.4% | 65.8% | 9,632 | 5,335 | 2,774 | 10,331 | 343 | 520 | – | 836 | 29,771 | ||
| Jean-Talon | Lib | Lib | 11,069 | 32.6% | 1,363 | 4.0% | 75.2% | 9,706 | 11,069 | 4,912 | 6,515 | 610 | 620 | 236 | 307 | 33,975 | ||
| La Peltrie | CAQ | CAQ | 23,389 | 57.7% | 16,660 | 41.1% | 70.8% | 23,389 | 6,729 | 3,050 | 4,000 | 700 | 1,926 | – | 723 | 40,517 | ||
| Louis-Hébert | Lib | CAQ | 16,248 | 44.6% | 6,548 | 18.0% | 80.5% | 16,248 | 9,700 | 4,529 | 4,030 | 550 | 841 | 244 | 298 | 36,440 | ||
| Montmorency | Lib | CAQ | 20,233 | 50.9% | 12,836 | 32.3% | 71.0% | 20,233 | 7,397 | 4,221 | 5,225 | 558 | 1,507 | 561 | 69 | 39,771 | ||
| Portneuf | Lib | CAQ | 15,994 | 54.3% | 10,435 | 35.4% | 70.3% | 15,994 | 5,559 | 2,727 | 3,364 | – | 1,524 | – | 282 | 29,450 | ||
| Taschereau | PQ | QS | 15,373 | 42.5% | 8,511 | 23.5% | 73.7% | 6,862 | 6,387 | 6,379 | 15,373 | 534 | – | – | 622 | 36,157 | ||
| Vanier-Les Rivières | Lib | CAQ | 18,267 | 45.1% | 7,916 | 19.5% | 71.8% | 18,267 | 10,351 | 4,028 | 4,946 | 668 | 1,454 | 299 | 487 | 40,500 | ||
| Centre-du-Québec | ||||||||||||||||||
| Arthabaska | CAQ | CAQ | 25,640 | 61.8% | 20,425 | 49.3% | 69.5% | 25,640 | 4,707 | 3,897 | 5,215 | 620 | 968 | – | 418 | 41,465 | ||
| Drummond–Bois-Francs | CAQ | CAQ | 19,577 | 56.3% | 14,356 | 41.3% | 68.8% | 19,577 | 4,527 | 4,360 | 5,221 | – | 733 | 250 | 106 | 34,774 | ||
| Nicolet-Bécancour | CAQ | CAQ | 15,562 | 55.3% | 11,139 | 39.6% | 71.8% | 15,562 | 3,539 | 4,423 | 3,474 | 403 | 576 | – | 170 | 28,147 | ||
| Chaudière-Appalaches | ||||||||||||||||||
| Beauce-Nord | CAQ | CAQ | 20,039 | 66.4% | 15,310 | 50.7% | 70.8% | 20,039 | 4,729 | 1,546 | 2,131 | – | 1,414 | – | 334 | 30,193 | ||
| Beauce-Sud | Lib | CAQ | 20,936 | 62.7% | 13,978 | 41.9% | 69.1% | 20,936 | 6,958 | 1,374 | 1,934 | 500 | 830 | – | 870 | 33,402 | ||
| Bellechasse | Lib | CAQ | 16,302 | 53.9% | 8,079 | 26.7% | 70.1% | 16,302 | 8,223 | 2,198 | 2,272 | – | 976 | – | 303 | 30,274 | ||
| Chutes-de-la-Chaudière | CAQ | CAQ | 25,777 | 59.5% | 19,739 | 45.6% | 76.6% | 25,777 | 6,038 | 4,055 | 4,950 | – | 1,854 | – | 642 | 43,316 | ||
| Côte-du-Sud | Lib | CAQ | 17,595 | 53.6% | 10,383 | 31.7% | 66.8% | 17,595 | 7,212 | 3,315 | 3,560 | – | 575 | – | 542 | 32,799 | ||
| Lévis | CAQ | CAQ | 19,417 | 57.3% | 14,516 | 42.8% | 71.4% | 19,417 | 4,901 | 3,475 | 3,979 | 698 | 931 | – | 490 | 33,891 | ||
| Lotbinière-Frontenac | Lib | CAQ | 20,360 | 53.8% | 12,618 | 33.3% | 69.5% | 20,360 | 7,742 | 3,591 | 3,593 | 655 | 1,410 | – | 504 | 37,855 | ||
| Côte-Nord | ||||||||||||||||||
| Duplessis | PQ | PQ | 7,023 | 34.3% | 127 | 0.6% | 55.8% | 6,896 | 3,668 | 7,023 | 2,534 | – | 344 | – | – | 20,465 | ||
| René-Lévesque | PQ | PQ | 8,055 | 42.2% | 1,623 | 8.5% | 58.8% | 6,432 | 2,440 | 8,055 | 1,948 | – | 204 | – | – | 19,079 | ||
| Estrie | ||||||||||||||||||
| Mégantic | Lib | CAQ | 12,593 | 47.5% | 7,336 | 27.7% | 69.2% | 12,593 | 5,257 | 3,325 | 4,228 | 809 | – | – | 281 | 26,493 | ||
| Orford | Lib | CAQ | 12,117 | 40.1% | 4,569 | 15.1% | 70.7% | 12,117 | 7,548 | 3,744 | 5,406 | 881 | 344 | – | 211 | 30,251 | ||
| Richmond | Lib | CAQ | 17,011 | 39.6% | 8,509 | 19.8% | 72.1% | 17,011 | 8,502 | 7,654 | 8,110 | 680 | 600 | – | 353 | 42,910 | ||
| Saint-François | Lib | CAQ | 13,524 | 34.7% | 4,450 | 11.4% | 69.2% | 13,524 | 9,074 | 6,304 | 8,833 | 691 | – | – | 514 | 38,940 | ||
| Sherbrooke | Lib | QS | 12,315 | 34.3% | 3,450 | 9.6% | 71.5% | 8,403 | 8,865 | 5,244 | 12,315 | 423 | – | 95 | 587 | 35,932 | ||
| Gaspésie–Îles-de-la-Madeleine | ||||||||||||||||||
| Bonaventure | PQ | PQ | 8,416 | 38.5% | 2,830 | 12.9% | 62.3% | 3,502 | 5,586 | 8,416 | 3,282 | 312 | – | 575 | 209 | 21,882 | ||
| Gaspé | PQ | PQ | 6,003 | 33.4% | 41 | 0.2% | 60.8% | 3,521 | 5,962 | 6,003 | 2,482 | – | – | – | – | 17,968 | ||
| Îles-de-la-Madeleine | Lib | PQ | 2,955 | 38.7% | 15 | 0.2% | 72.7% | 714 | 2,940 | 2,955 | 1,036 | – | – | – | – | 7,645 | ||
| Lanaudière | ||||||||||||||||||
| Berthier | PQ | CAQ | 18,048 | 45.1% | 6,481 | 16.2% | 69.8% | 18,048 | 3,052 | 11,567 | 6,169 | 687 | – | – | 467 | 39,990 | ||
| Joliette | PQ | PQ | 17,685 | 46.2% | 4,431 | 11.6% | 71.9% | 13,254 | 2,620 | 17,685 | 3,881 | 528 | – | – | 283 | 38,251 | ||
| L'Assomption | CAQ | CAQ | 18,237 | 57.0% | 12,812 | 40.1% | 72.0% | 18,237 | 2,558 | 4,625 | 5,425 | 596 | 175 | – | 363 | 31,979 | ||
| Masson | CAQ | CAQ | 17,565 | 53.1% | 11,038 | 33.3% | 72.9% | 17,565 | 3,606 | 6,527 | 4,451 | 699 | 263 | – | – | 33,111 | ||
| Repentigny | CAQ | CAQ | 18,799 | 49.7% | 11,698 | 31.0% | 74.2% | 18,799 | 5,166 | 7,101 | 5,622 | 441 | 309 | – | 357 | 37,795 | ||
| Rousseau | PQ | CAQ | 14,464 | 53.2% | 7,304 | 24.9% | 66.2% | 14,464 | 1,419 | 7,160 | 3,531 | – | 271 | – | 323 | 27,168 | ||
| Terrebonne | PQ | CAQ | 17,638 | 43.0% | 5,532 | 13.5% | 72.3% | 17,638 | 4,976 | 12,106 | 5,279 | 522 | 287 | – | 244 | 41,052 | ||
| Laurentides | ||||||||||||||||||
| Argenteuil | Lib | CAQ | 11,848 | 38.9% | 5,405 | 17.7% | 65.3% | 11,848 | 5,306 | 6,443 | 3,710 | 552 | 472 | 1,778 | 368 | 30,477 | ||
| Bertrand | PQ | CAQ | 13,867 | 41.6% | 6,052 | 18.1% | 67.6% | 13,867 | 4,471 | 7,815 | 6,047 | 613 | 261 | – | 304 | 33,378 | ||
| Blainville | CAQ | CAQ | 20,457 | 48.3% | 12,375 | 29.2% | 74.6% | 20,457 | 8,082 | 5,744 | 6,408 | 1,146 | – | – | 540 | 42,377 | ||
| Deux-Montagnes | CAQ | CAQ | 16,038 | 47.4% | 9,574 | 28.3% | 71.1% | 16,038 | 4,523 | 6,464 | 4,912 | 722 | 368 | – | 779 | 33,806 | ||
| Groulx | CAQ | CAQ | 14,771 | 40.6% | 7,402 | 20.4% | 70.3% | 14,771 | 7,369 | 5,745 | 6,268 | 802 | 368 | 812 | 235 | 36,370 | ||
| Labelle | PQ | CAQ | 11,784 | 36.5% | 599 | 1.9% | 67.2% | 11,784 | 3,524 | 11,185 | 4,954 | 395 | 265 | – | 181 | 32,288 | ||
| Les Plaines[a 4] | New | CAQ | 13,818 | 51.2% | 7,421 | 27.5% | 69.1% | 13,818 | 2,160 | 6,397 | 3,738 | 434 | 293 | – | 140 | 26,980 | ||
| Mirabel | CAQ | CAQ | 21,602 | 54.6% | 14,440 | 36.5% | 70.7% | 21,602 | 3,526 | 7,162 | 5,916 | 688 | 296 | – | 353 | 39,543 | ||
| Prévost[a 5] | New | CAQ | 14,876 | 47.0% | 7,137 | 22.6% | 70.8% | 14,876 | 4,063 | 7,739 | 4,414 | – | 303 | – | 235 | 31,630 | ||
| Saint-Jérôme | PQ | CAQ | 17,225 | 43.7% | 6,425 | 16.3% | 65.9% | 17,225 | 3,534 | 10,800 | 6,243 | 677 | 345 | – | 558 | 39,382 | ||
| Laval | ||||||||||||||||||
| Chomedey | Lib | Lib | 15,982 | 52.7% | 7,968 | 26.3% | 54.0% | 8,014 | 15,982 | 2,301 | 2,144 | 538 | 1,084 | – | 276 | 30,339 | ||
| Fabre | Lib | Lib | 12,147 | 37.5% | 1,607 | 5.0% | 61.2% | 10,540 | 12,147 | 4,372 | 3,487 | 861 | 688 | – | 279 | 32,374 | ||
| Laval-des-Rapides | Lib | Lib | 10,637 | 31.5% | 271 | 0.8% | 61.7% | 10,366 | 10,637 | 5,195 | 5,721 | 738 | 361 | – | 712 | 33,730 | ||
| Mille-Îles | Lib | Lib | 10,408 | 35.8% | 1,206 | 4.2% | 66.5% | 9,202 | 10,408 | 4,378 | 3,711 | 822 | – | – | 537 | 29,058 | ||
| Sainte-Rose | Lib | CAQ | 13,491 | 36.8% | 2,462 | 6.7% | 70.0% | 13,491 | 11,029 | 5,309 | 5,082 | 923 | 423 | – | 360 | 36,617 | ||
| Vimont | Lib | Lib | 11,474 | 36.7% | 567 | 1.8% | 69.2% | 10,907 | 11,474 | 3,875 | 3,602 | 652 | 291 | 115 | 361 | 31,277 | ||
| Mauricie | ||||||||||||||||||
| Champlain | Lib | CAQ | 21,154 | 51.9% | 13,544 | 33.2% | 70.5% | 21,154 | 7,610 | 4,928 | 5,285 | 789 | 733 | – | 290 | 40,789 | ||
| Laviolette | Lib | Dissolved | ||||||||||||||||
| Laviolette–Saint-Maurice | New | CAQ | 16,260 | 45.4% | 8,820 | 24.6% | 63.8% | 16,260 | 7,440 | 5,611 | 5,414 | – | 639 | – | 444 | 35,808 | ||
| Maskinongé | Lib | CAQ | 13,199 | 42.4% | 4,517 | 14.5% | 71.6% | 13,199 | 8,682 | 3,987 | 3,764 | 609 | 463 | 204 | 206 | 31,114 | ||
| Saint-Maurice | Lib | Dissolved | ||||||||||||||||
| Trois-Rivières | Lib | CAQ | 15,323 | 41.1% | 6,801 | 18.2% | 70.2% | 15,323 | 8,522 | 5,758 | 6,411 | 653 | 639 | – | – | 37,306 | ||
| Montérégie | ||||||||||||||||||
| Beauharnois | PQ | CAQ | 14,947 | 46.7% | 7,952 | 24.8% | 68.6% | 14,947 | 4,069 | 6,995 | 4,816 | – | 288 | – | 888 | 32,003 | ||
| Borduas | CAQ | CAQ | 20,852 | 47.8% | 11,513 | 26.4% | 76.4% | 20,852 | 5,012 | 9,339 | 6,828 | 836 | 290 | – | 483 | 43,640 | ||
| Brome-Missisquoi | Lib | CAQ | 18,407 | 44.4% | 8,369 | 20.2% | 70.8% | 18,407 | 10,038 | 4,446 | 7,167 | 978 | – | – | 437 | 41,473 | ||
| Chambly | CAQ | CAQ | 18,940 | 50.3% | 12,376 | 32.8% | 75.4% | 18,940 | 4,599 | 6,564 | 6,177 | 683 | 309 | – | 413 | 37,685 | ||
| Châteauguay | Lib | CAQ | 12,259 | 37.1% | 1,121 | 3.4% | 63.9% | 12,259 | 11,138 | 4,055 | 4,236 | 624 | 458 | – | 310 | 33,080 | ||
| Granby | CAQ | CAQ | 22,570 | 62.4% | 17,495 | 48.4% | 69.8% | 22,570 | 3,881 | 3,491 | 5,075 | 531 | 358 | – | 277 | 36,183 | ||
| Huntingdon | Lib | CAQ | 10,893 | 37.7% | 711 | 2.5% | 67.6% | 10,893 | 10,182 | 3,188 | 3,676 | 444 | 396 | – | 126 | 28,905 | ||
| Iberville | CAQ | CAQ | 15,892 | 47.6% | 10,035 | 30.1% | 70.9% | 15,892 | 4,106 | 5,857 | 5,779 | 631 | 583 | – | 527 | 33,375 | ||
| Johnson | CAQ | CAQ | 20,902 | 53.0% | 13,851 | 35.1% | 67.5% | 20,902 | 4,362 | 5,194 | 7,051 | 745 | 630 | – | 582 | 39,466 | ||
| La Pinière | Lib | Lib | 15,476 | 47.1% | 5,996 | 18.2% | 61.1% | 9,480 | 15,476 | 2,921 | 3,300 | 585 | 435 | 329 | 354 | 32,880 | ||
| La Prairie | Lib | CAQ | 14,511 | 43.1% | 6,442 | 19.2% | 74.9% | 14,511 | 8,069 | 5,290 | 4,362 | 694 | 379 | – | 329 | 33,634 | ||
| Laporte | Lib | Lib | 12,514 | 35.6% | 2,479 | 7.1% | 66.3% | 10,035 | 12,514 | 4,647 | 6,007 | 980 | 475 | – | 480 | 35,138 | ||
| Marie-Victorin | PQ | PQ | 8,952 | 30.8% | 705 | 2.4% | 62.9% | 8,247 | 4,418 | 8,952 | 6,295 | 625 | – | – | 513 | 29,050 | ||
| Montarville | CAQ | CAQ | 17,368 | 41.1% | 7,070 | 16.7% | 80.4% | 17,368 | 10,298 | 6,820 | 6,716 | – | – | – | 1,050 | 42,252 | ||
| Richelieu | PQ | CAQ | 15,258 | 49.8% | 8,196 | 26.7% | 70.4% | 15,258 | 3,456 | 7,062 | 4,101 | 402 | 364 | – | – | 30,643 | ||
| Saint-Hyacinthe | CAQ | CAQ | 21,227 | 52.0% | 14,401 | 35.3% | 71.5% | 21,227 | 5,758 | 6,524 | 6,826 | – | – | – | 486 | 40,821 | ||
| Saint-Jean | PQ | CAQ | 16,789 | 39.5% | 3,618 | 8.5% | 71.3% | 16,789 | 4,946 | 13,171 | 6,137 | 694 | 368 | – | 399 | 42,504 | ||
| Sanguinet | PQ | CAQ | 12,986 | 43.5% | 5,597 | 18.8% | 72.5% | 12,986 | 4,169 | 7,389 | 4,390 | 456 | 355 | – | 81 | 29,826 | ||
| Soulanges | Lib | CAQ | 15,307 | 39.2% | 2,142 | 5.5% | 70.3% | 15,307 | 13,165 | 4,001 | 4,508 | 729 | 322 | – | 986 | 39,018 | ||
| Taillon | PQ | CAQ | 12,186 | 33.8% | 2,048 | 5.7% | 69.1% | 12,186 | 6,042 | 10,138 | 6,382 | 766 | 235 | – | 349 | 36,098 | ||
| Vachon | PQ | CAQ | 15,625 | 43.6% | 8,089 | 22.6% | 70.9% | 15,625 | 7,536 | 6,106 | 5,194 | – | 436 | – | 931 | 35,828 | ||
| Vaudreuil | Lib | Lib | 15,143 | 39.9% | 2,765 | 7.3% | 65.7% | 12,378 | 15,143 | 3,813 | 3,811 | 1,026 | 644 | – | 1,117 | 37,932 | ||
| Verchères | PQ | CAQ | 17,073 | 37.5% | 827 | 1.8% | 77.4% | 17,073 | 4,017 | 16,246 | 6,723 | 701 | 380 | – | 403 | 45,543 | ||
| Montreal | ||||||||||||||||||
| East | ||||||||||||||||||
| Anjou–Louis-Riel | Lib | Lib | 10,802 | 39.1% | 2,807 | 10.2% | 64.5% | 7,995 | 10,802 | 4,064 | 4,018 | 519 | – | – | 256 | 27,654 | ||
| Bourassa-Sauvé | Lib | Lib | 11,456 | 46.2% | 5,630 | 22.7% | 52.4% | 5,826 | 11,456 | 2,640 | 3,469 | 433 | 363 | 92 | 538 | 24,817 | ||
| Bourget | PQ | CAQ | 8,870 | 27.6% | 500 | 1.6% | 64.9% | 8,870 | 6,074 | 8,370 | 7,865 | 719 | – | – | 280 | 32,178 | ||
| Gouin | QS | QS | 17,977 | 59.1% | 13,454 | 44.3% | 69.6% | 3,011 | 3,483 | 4,523 | 17,977 | 1,049 | – | – | 356 | 30,399 | ||
| Hochelaga-Maisonneuve | PQ | QS | 13,389 | 50.1% | 7,079 | 26.5% | 63.4% | 3,447 | 2,766 | 6,310 | 13,389 | – | 164 | – | 676 | 26,752 | ||
| Jeanne-Mance–Viger | Lib | Lib | 18,215 | 66.3% | 13,770 | 50.1% | 55.3% | 4,445 | 18,215 | 1,523 | 2,237 | 570 | 391 | – | 83 | 27,464 | ||
| LaFontaine | Lib | Lib | 14,491 | 58.8% | 9,091 | 36.9% | 59.0% | 5,400 | 14,491 | 2,057 | 2,181 | – | 434 | – | 80 | 24,643 | ||
| Laurier-Dorion | Lib | QS | 14,226 | 47.3% | 5,301 | 17.6% | 63.6% | 2,664 | 8,925 | 2,344 | 14,226 | 530 | 354 | – | 1,048 | 30,091 | ||
| Maurice-Richard | Lib | Lib | 9,459 | 29.5% | 530 | 1.7% | 68.6% | 6,330 | 9,459 | 6,131 | 8,929 | 602 | – | – | 597 | 32,048 | ||
| Mercier | QS | QS | 15,919 | 54.5% | 10,747 | 36.8% | 65.6% | 2,348 | 5,172 | 3,542 | 15,919 | 1,102 | 122 | – | 1,105 | 29,210 | ||
| Pointe-aux-Trembles | PQ | CAQ | 10,579 | 39.0% | 1,834 | 6.8% | 67.4% | 10,579 | 3,410 | 8,745 | 4,036 | – | – | – | 386 | 27,156 | ||
| Rosemont | PQ | QS | 12,920 | 35.3% | 2,500 | 6.8% | 69.4% | 5,703 | 6,148 | 10,420 | 12,920 | 521 | 217 | – | 724 | 36,653 | ||
| Sainte-Marie–Saint-Jacques | QS | QS | 12,429 | 49.3% | 7,094 | 28.1% | 59.4% | 2,773 | 5,335 | 3,528 | 12,429 | 881 | 130 | – | 145 | 25,221 | ||
| Viau | Lib | Lib | 10,113 | 48.6% | 4,837 | 22.3% | 53.4% | 3,411 | 10,113 | 1,803 | 5,276 | – | 274 | 153 | 656 | 21,686 | ||
| West | ||||||||||||||||||
| Acadie | Lib | Lib | 14,305 | 53.8% | 9,914 | 37.3% | 54.2% | 4,391 | 14,305 | 2,394 | 3,656 | 737 | 579 | – | 529 | 26,591 | ||
| D'Arcy-McGee | Lib | Lib | 19,085 | 74.3% | 17,224 | 67.1% | 46.6% | 1,643 | 19,085 | 657 | 1,861 | 837 | 1,153 | – | 445 | 25,681 | ||
| Jacques-Cartier | Lib | Lib | 21,133 | 71.8% | 18,389 | 62.5% | 65.1% | 2,744 | 21,133 | 815 | 1,291 | 1,981 | 762 | 78 | 627 | 29,431 | ||
| Marguerite-Bourgeoys | Lib | Lib | 15,361 | 53.4% | 8,605 | 29.9% | 54.8% | 6,756 | 15,361 | 2,430 | 3,095 | 675 | – | – | 456 | 28,773 | ||
| Marquette | Lib | Lib | 11,819 | 43.0% | 4,026 | 14.7% | 59.6% | 7,793 | 11,819 | 2,139 | 3,153 | 1,111 | 599 | 134 | 746 | 27,494 | ||
| Mont-Royal | Lib | Dissolved | ||||||||||||||||
| Mont-Royal–Outremont | New | Lib | 16,026 | 51.3% | 11,206 | 35.9% | 55.7% | 4,218 | 16,026 | 3,672 | 4,820 | 1,344 | 509 | – | 627 | 31,216 | ||
| Nelligan | Lib | Lib | 22,421 | 65.1% | 16,510 | 48.0% | 59.6% | 5,911 | 22,421 | 1,580 | 1,902 | 1,040 | 1,038 | – | 537 | 34,429 | ||
| Notre-Dame-de-Grâce | Lib | Lib | 16,843 | 63.0% | 13,677 | 51.1% | 56.1% | 2,142 | 16,843 | 1,460 | 3,166 | 1,785 | – | 151 | 1,195 | 26,742 | ||
| Outremont | Lib | Dissolved | ||||||||||||||||
| Robert-Baldwin | Lib | Lib | 22,426 | 73.9% | 18,988 | 62.5% | 55.6% | 3,438 | 22,426 | 994 | 1,317 | 781 | – | – | 1,409 | 30,365 | ||
| Saint-Henri–Sainte-Anne | Lib | Lib | 11,837 | 38.1% | 4,424 | 14.2% | 56.6% | 5,809 | 11,837 | 3,568 | 7,413 | 1,009 | – | – | 1,466 | 31,102 | ||
| Saint-Laurent | Lib | Lib | 17,669 | 62.0% | 13,347 | 46.8% | 51.0% | 4,322 | 17,669 | 1,846 | 2,458 | 849 | 863 | – | 507 | 28,514 | ||
| Verdun | Lib | Lib | 11,054 | 35.5% | 3,597 | 11.6% | 63.2% | 6,343 | 11,054 | 3,929 | 7,457 | 1,157 | 217 | – | 973 | 31,130 | ||
| Westmount–Saint-Louis | Lib | Lib | 14,547 | 66.7% | 12,311 | 56.5% | 48.5% | 2,110 | 14,547 | 1,105 | 2,236 | 730 | 479 | – | 598 | 21,805 | ||
| Nord-du-Québec | ||||||||||||||||||
| Ungava | Lib | CAQ | 2,270 | 26.5% | 46 | 0.5% | 30.9% | 2,270 | 2,134 | 2,224 | 1,416 | 183 | 192 | – | 145 | 8,564 | ||
| Outaouais | ||||||||||||||||||
| Chapleau | Lib | CAQ | 13,057 | 40.4% | 2,537 | 7.9% | 59.8% | 13,057 | 10,520 | 2,922 | 5,122 | – | 497 | – | 182 | 32,300 | ||
| Gatineau | Lib | CAQ | 14,586 | 41.7% | 3,932 | 11.3% | 59.8% | 14,586 | 10,654 | 3,148 | 4,517 | 1,271 | 697 | – | 71 | 34,944 | ||
| Hull | Lib | Lib | 10,519 | 33.8% | 2,281 | 7.3% | 57.6% | 8,238 | 10,519 | 4,238 | 5,764 | 1,099 | 454 | – | 846 | 31,158 | ||
| Papineau | Lib | CAQ | 16,975 | 46.9% | 8,617 | 23.8% | 60.9% | 16,975 | 8,358 | 3,828 | 5,434 | 547 | 463 | – | 563 | 36,168 | ||
| Pontiac | Lib | Lib | 14,869 | 53.9% | 9,237 | 33.5% | 53.5% | 5,632 | 14,869 | 1,520 | 2,964 | 919 | 853 | – | 835 | 27,592 | ||
| Saguenay–Lac-Saint-Jean | ||||||||||||||||||
| Chicoutimi | PQ | CAQ | 12,123 | 39.3% | 4,416 | 14.3% | 68.5% | 12,123 | 6,094 | 7,707 | 3,977 | 551 | 426 | – | – | 30,878 | ||
| Dubuc | Lib | CAQ | 10,535 | 40.2% | 4,676 | 17.9% | 65.9% | 10,535 | 5,859 | 5,541 | 3,163 | – | 645 | – | 445 | 26,188 | ||
| Jonquière | PQ | PQ | 14,887 | 48.4% | 4,890 | 15.9% | 69.3% | 9,997 | 3,029 | 14,887 | 2,242 | 296 | 337 | – | – | 30,788 | ||
| Lac-Saint-Jean | PQ | CAQ | 11,437 | 39.5% | 2,299 | 7.9% | 68.7% | 11,437 | 3,630 | 9,138 | 4,305 | – | 272 | – | 199 | 28,981 | ||
| Roberval | Lib | Lib | 11,807 | 42.5% | 5,088 | 18.3% | 63.4% | 6,719 | 11,807 | 5,290 | 2,975 | – | 478 | – | 541 | 27,810 | ||
- "General elections - October 1, 2018: Official results by electoral divisions". electionsquebec.qc.ca. Retrieved December 5, 2019.
- including spoilt ballots
- minor political parties receiving less than 1% of the national popular vote are aggregated under "Other"; independent candidates are aggregated separately
- Riding created from parts of Mirabel, Blainville and Masson
- Riding created from parts of Bertrand and Rousseau
See also
Notes
- Québec solidaire designated Massé as its candidate for Premier, and Massé and Gabriel Nadeau-Dubois as co-spokespeople. The party's power is held by the general meetings of the members and a board of 16 directors; the de jure leader recognized by the Chief Electoral Officer of Quebec (DGE) is Gaétan Châteauneuf.[2]
References
- "Résultats de l'élection partielle dans la circonscription de Jean-Talon | Élections provinciales".
- "Québec solidaire". Élections Québec. Archived from the original on May 12, 2021. Retrieved June 20, 2017.
- An Act to amend the Election Act for the purpose of establishing fixed-date elections, L.Q. 2013, c. 13, s. 3
- "Future Quebec elections to be held on first Monday in October". CTV News. June 14, 2013. Retrieved August 21, 2018.
- Authier, Philip (August 15, 2014). "CAQ heavyweight Christian Dubé leaving politics". Montreal Gazette. Retrieved August 22, 2018.
- Vendeville, Geoffrey (October 21, 2014). "CAQ holds the fort in Lévis byelection". Montreal Gazette. Retrieved August 21, 2018.
- Ouellet, Martin (September 29, 2014). "Elaine Zakaïb, PQ Member, Quits Politics To Run Jacob". HuffPost Canada. Retrieved August 21, 2018.
- "Parti Québécois wins Richelieu riding in byelection". CBC News. March 10, 2015. Retrieved March 10, 2015.
- Authier, Philip (February 26, 2015). "Yves Bolduc turns his back on politics, heads back to medicine". Montreal Gazette. Retrieved August 21, 2018.
- "By-election - June 8, 2015 - Official results". Archived from the original on June 14, 2015. Retrieved June 12, 2015.
- "Gérard Deltell jumps into federal politics with Conservatives". CBC News. April 7, 2015. Retrieved April 7, 2015.
- "Official Results". Élections Quebec. Archived from the original on June 14, 2015. Retrieved June 12, 2015.
- Lau, Rachel (August 21, 2015). "Marguerite Blais quits politics, needed a challenge". Global News. Retrieved August 21, 2018.
- "Le PLQ et le PQ en voie de conserver leurs sièges". Le Devoir (in French). November 9, 2015. Retrieved August 15, 2018.
- "MNA Gilles Ouimet to quit politics". Montreal Gazette. August 24, 2015. Retrieved August 21, 2018.
- "Sylvie Roy quits CAQ to sit as independent". CTV News. August 26, 2015. Retrieved August 21, 2018.
- Plante, Caroline (September 3, 2015). "PQ MNA Marjolain Dufour quits for health reasons". Montreal Gazette. Retrieved October 12, 2015.
- "Robert Dutil, former Quebec cabinet minister, retiring from National Assembly". CBC News. September 22, 2015. Retrieved October 12, 2015.
- Plante, Caroline (October 22, 2015). "Veteran PQ MNA Stéphane Bédard quits Parti Québécois". Montreal Gazette. Retrieved October 22, 2015.
- "Élection partielle dans Chicoutimi le 11 avril" (in French). Radio-Canada. March 9, 2016. Retrieved August 22, 2018.
- Bélair-Cirino, Marco; Fortier, Marco (May 2, 2016). "PKP doit faire une importante déclaration vers 14h". Le Devoir (in French). Retrieved August 19, 2018.
- "MNA Sylvie Roy dies following serious illness". CTV News. August 1, 2016. Retrieved August 1, 2016.
- Chouinard, Tommy; Croteau, Martin (October 20, 2016). "Allégation d'agression sexuelle: Gerry Sklavounos forcé de se retirer du caucus libéral". La Presse (in French). Retrieved August 23, 2018.
- The Canadian Press (January 19, 2017). "Quebec solidaire's Francoise David quits politics immediately". Maclean's. Retrieved January 19, 2017.
- Authier, Philip (January 24, 2017). "François Legault kicks Claude Surprenant out of CAQ caucus". Montreal Gazette. Retrieved May 19, 2018.
- Montpetit, Jonathan (January 27, 2017). "Pierre Paradis out of cabinet, Liberal caucus as police probe complaint of sexual nature". CBC News. Retrieved May 19, 2018.
- "PQ MNA Martine Ouellet to run for Bloc Québécois leadership". Montreal Gazette. February 5, 2017. Retrieved May 19, 2018.
- Hinkson, Kamila (April 27, 2017). "Sam Hamad, former Liberal cabinet minister, quits politics | CBC News". CBC News. Retrieved May 19, 2018.
- "Élection partielle : un scrutin le 2 octobre dans Louis-Hébert". ICI.Radio-Canada.ca. August 30, 2017. Retrieved May 19, 2018.
- Gagnon, Marc-André (October 2, 2017). "Les électeurs de Louis-Hébert optent pour le changement | JDQ". Le Journal de Québec (in French). Retrieved May 19, 2018.
- Bellerose, Patrick (May 16, 2017). "Proximité avec la firme Roche: Gaétan Lelièvre exclu du caucus du PQ | JDM". Le Journal de Montréal (in French). Retrieved May 19, 2018.
- Blatchford, Andy (April 8, 2014). "Pauline Marois Resigns PQ Leadership After Crushing Defeat". HuffPost Canada. Retrieved August 21, 2018.
- "PQ elects Stephane Bedard to interim leader post". CTV News. April 10, 2014. Retrieved April 10, 2014.
- "Pierre Karl Péladeau working to soften his image ahead of potential PQ leadership run". Montreal Gazette. September 26, 2014. Archived from the original on January 21, 2015. Retrieved January 27, 2019.
- "Pierre Karl Peladeau elected leader of Parti Quebecois". CTV News. May 15, 2015. Retrieved May 15, 2015.
- "Québec solidaire members to vote on starting merger talks with Option nationale". Montreal Gazette. March 24, 2017. Retrieved October 26, 2017.
- "Gabriel Nadeau-Dubois, Manon Massé elected the new voices of Québec solidaire". Montreal Gazette. May 21, 2017. Retrieved May 19, 2018.
- Incumbents Françoise David and Andrés Fontecilla did not seek reelection for a new mandate.
- "Québec Solidaire and Option Nationale reach agreement in principle to merge". Montreal Gazette. October 5, 2017. Retrieved October 26, 2017.
- "Liberal MNA withdraws from caucus during audit on his constituency office". CTV News. May 10, 2018. Retrieved May 10, 2018.
- Busque, Simon (June 15, 2018). "Paul Busque réintègre le caucus du Parti libéral". L'Éclaireur Progrès (in French). Archived from the original on June 16, 2018. Retrieved June 16, 2018.
- Fixed date, per section 6 of the Act respecting the National Assembly Archived May 12, 2018, at the Wayback Machine (CS, c. A-23.1): "A Legislature ends on 29 August of the fourth calendar year following the year that includes the most recent general election polling day."
- Canadian Press (April 26, 2018). "Provincial party leaders face off in French language debate on Sept. 13". Montreal Gazette. Retrieved May 11, 2018.
- Election Act Archived May 15, 2018, at the Wayback Machine (CS, c. E-3.3), section 237
- "Quebec election: Party leaders' English debate set for Sept. 17". Montreal Gazette. May 15, 2018. Retrieved August 15, 2018.
- "TVA et LCN présenteront le Face à Face des chefs". Groupe TVA. April 19, 2018. Retrieved May 11, 2018.
- 14 members elected in the 2014 general election resigned from the National Assembly during the 41st Legislature, but two of them (Marguerite Blais and Christian Dubé) are candidates again in the 2018 general election.
- Grondin, Marie-Renée (June 2018). "44 députés élus en 2014 qui ne seront pas de la prochaine campagne électorale" [44 MNAs elected in 2014 who will not be in the next electoral campaign]. Le Journal de Québec (in French).
- Page, Julia (August 15, 2018). "Longtime Liberal MNA François Ouimet forced out — says Premier Couillard broke promise". CBC News. Retrieved August 19, 2018.
- Kestler-D'Amours, Jillian (August 22, 2018). "What's in a slogan? Quebec's 4 main parties try to entice voters with one word or more". CBC News. Retrieved August 31, 2018.
- "A Single Objective: Making Life Easier for Quebecers". Quebec Liberal Party. August 23, 2018. Retrieved August 26, 2018.
- "Le Parti Québécois". Pq.org. September 3, 2018. Retrieved September 7, 2018.
- "Accueil". Coalitionavenirquebec.org. Retrieved September 7, 2018.
- "Votre navigateur est obsolète". Quebecsolidaire.net. Retrieved September 7, 2018.
- "Parti Vert du Québec". pvq.qc.ca. October 26, 2018. Archived from the original on October 26, 2018. Retrieved October 26, 2018.
- "Parti conservateur du Québec". particonservateurquebec.org. October 26, 2018. Retrieved October 26, 2018.
- Martin Patriquin (September 30, 2018). "Canada: holdout of Quebec separatism faces end of the dream". The Guardian.
- CBC News (August 23, 2018). "Where Quebec's parties stand on the issues that matter most to you". CBC News. Retrieved August 27, 2018.
- "Les positions de la CAQ décortiquées" (in French). TVA Nouvelles. Retrieved September 7, 2018.
- Andy Riga Updated: August 29, 2018 (August 29, 2018). "Quebec election live blog Aug. 28: Is Québec Solidaire's gas-car ban too 'radical'?". Montreal Gazette. Retrieved September 7, 2018.
- Durand, Claire; Blais, André (March 2020). "Quebec 2018: A Failure of the Polls?". Canadian Journal of Political Science/Revue Canadienne de Science Politique. 53 (1): 133–150. doi:10.1017/S0008423919000787. hdl:1866/24757. ISSN 0008-4239. S2CID 212985241.
- Bélanger, Éric; Chassé, Philippe (September 26, 2021). "The 2018 Provincial Election in Quebec". Canadian Political Science Review. 15 (1): 34–43. ISSN 1911-4125.
- Bodet, Marc André; Villeneuve-Siconnelly, Katryne (September 1, 2020). "Effective support and electoral dynamics in Quebec". French Politics. 18 (3): 221–237. doi:10.1057/s41253-020-00118-6. ISSN 1476-3427. S2CID 219083143.
- Brie, Evelyne; Ouellet, Catherine (September 1, 2020). "Exposure to English as a determinant of support for Quebec independence in the 2018 Quebec elections". French Politics. 18 (3): 238–252. doi:10.1057/s41253-020-00119-5. ISSN 1476-3427. S2CID 219024376.
- Bosworth, Yulia (March 2021). "'Those people who chose us': Discursive construction of identity and belonging in the context of Quebec's 2018 provincial elections". Discourse & Society. 32 (2): 135–155. doi:10.1177/0957926520970381. ISSN 0957-9265. S2CID 228875467.
- "Official list of candidates". Élections Québec.
- "List of provincial authorized political parties". Élections Québec. Retrieved June 22, 2017.
- "Maps of next electoral districts 2017 by administrative region". Élections Québec. Retrieved July 19, 2018.
- "Norbert Morin becomes seventh Liberal MNA to decide not to run for re-election". Montreal Gazette. March 9, 2018. Retrieved March 27, 2018.
- Fortier, Dominique (June 5, 2018). "Gaétan Lelièvre ne sera pas candidat aux prochaines élections". L'Avantage gaspésien (in French). Retrieved June 5, 2018.
- Bérubé, Joane (March 19, 2018). "Germain Chevarie ne se représentera pas aux prochaines élections". Radio-Canada (in French). Retrieved March 19, 2018.
- Bélair-Cirino, Marco (January 16, 2018). "Alexandre Cloutier quitte la vie politique". Le Devoir (in French). Retrieved January 16, 2018.
- Gagnon, Marc-André (February 8, 2018). "Le député libéral André Drolet annonce son retrait de la vie politique". Le Journal de Québec (in French). Retrieved February 8, 2018.
- Gagnon, Marc-André (March 18, 2018). "Raymond Bernier quitte la politique provinciale". Le Journal de Québec (in French). Retrieved March 18, 2018.
- Gagnon, Marc-André (April 10, 2018). "Élections générales: le libéral Michel Matte ne sera pas candidat le 1er octobre". Le Journal de Québec (in French). Retrieved August 17, 2018.
- Bellerose, Patrick (January 16, 2018). "Agnès Maltais se retire également de la vie politique". Le Journal de Québec (in French). Retrieved January 16, 2018.
- "La ministre Julie Boulet quitte la vie politique". Radio-Canada. May 7, 2018. Retrieved May 7, 2018.
- "Le libéral Ghislain Bolduc annonce son retrait de la vie politique". Le Journal de Montréal (in French). March 16, 2018. Retrieved August 17, 2018.
- "PLQ: Pierre Reid annoncera son retrait de la politique lundi". TVA Nouvelles (in French). February 9, 2018. Retrieved February 10, 2018.
- "La députée libérale Karine Vallières quitte la politique pour sa famille". Le Journal de Québec (in French). February 5, 2018. Retrieved February 5, 2018.
- Chouinard, Tommy (January 23, 2018). "PLQ: le député Guy Hardy quitte la vie politique". La Presse (in French). Retrieved January 23, 2018.
- "La libérale Rita de Santis quitte la vie politique". Le Journal de Montréal (in French). June 28, 2018. Retrieved August 19, 2018.
- Sklavounos, Gerry (May 11, 2018). "Statement of Gerry Sklavounos concerning his political future". Retrieved May 11, 2018.
- "Québec Solidaire MNA Amir Khadir to leave politics". Montreal Gazette. May 4, 2018. Retrieved August 19, 2018.
- Bellerose, Patrick (January 15, 2018). "La péquiste Nicole Léger quitte la vie politique". Le Journal de Montréal (in French). Retrieved January 16, 2018.
- Lessard, Denis (May 1, 2018). "David Heurtel et Laurent Lessard partiront également". La Presse (in French). Retrieved May 1, 2018.
- Authier, Philip (June 10, 2018). "Longtime Liberal MNA Geoffrey Kelley will not seek re-election". Montreal Gazette. Retrieved June 11, 2018.
- Lajoie, Geneviève (May 30, 2018). "Le départ de Robert Poëti cause la surprise". Le Journal de Québec (in French). Retrieved May 31, 2018.
- "Liberal party pushes out MNA Francois Ouimet". CTV News. August 15, 2018. Retrieved August 16, 2018.
- "Martin Coiteux ne sera pas candidat aux prochaines élections". Le Journal de Montréal (in French). April 27, 2018. Retrieved August 21, 2018.
- Pilon-Larose, Hugo (March 5, 2018). "Départ de la vie politique: 'Je ne fuis pas', dit Fournier". La Presse (in French). Retrieved March 5, 2018.
- "Jacques Chagnon devient le 18e député libéral à quitter la politique". Radio-Canada (in French). June 15, 2018. Retrieved June 15, 2018.
- "Stéphanie Vallée ne sera pas candidate aux prochaines élections" (in French). Radio-Canada. February 28, 2018. Retrieved February 28, 2018.
- Gagnon, Marc-André (April 4, 2018). "André Spénard passera le flambeau dans Beauce-Nord". Le Journal de Québec (in French). Retrieved August 21, 2018.
- Clavel, Émilie (June 8, 2018). "Laurent Lessard confirme qu'il ne sera pas candidat aux prochaines élections provinciales". HuffPost Canada (in French). Retrieved June 9, 2018.
- "Pierre Paradis est réintégré au PLQ, mais ne se représentera pas comme candidat aux élections". Le Journal de Québec (in French). August 16, 2018. Retrieved August 16, 2018.
- Curtis, Christopher (September 5, 2018). "Quebec election: PQ candidate Guy Leclair resigns amid DUI charges". Montreal Gazette. Retrieved September 5, 2018.
- Ian Austen (October 2, 2018). "A Center-Right Party Decisively Wins Quebec Vote". The New York Times.
- Peritz, Ingrid (October 2018). "After 50 years, Parti Québécois pushed to political margins as Lisée loses Montreal seat and resigns - The Globe and Mail". The Globe and Mail.
- Martin Patriquin (October 2, 2018). "Quebec election: CAQ victory proves separatism is no longer a major issue". The Guardian.
- Benjamin Shingler (October 1, 2018). "Quebec elects CAQ majority government, Liberals see historic losses". CBC News.
- "Official results after the counting of votes". Élections Québec. Retrieved October 9, 2018.
- "Political parties". Élections Québec. Retrieved October 9, 2018.
Further reading
- Bélanger, Éric; Chassé, Philippe (September 2021). "The 2018 Provincial Election in Quebec". Canadian Political Science Review. 15 (1): 34–43. ISSN 1911-4125.
.jpg.webp)

.jpg.webp)
.jpg.webp)
