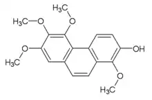
7-Hydroxy-2,3,4,8-tetramethoxyphenanthrene

7-Hydroxy-2,3,4,8-tetramethoxyphenanthrene is one of several phenanthrenes contained in the rhizome of Dioscorea communis.[1]

7-Hydroxy-2,3,4,8-tetramethoxyphenanthrene
Chemical structure of 7-hydroxy-2,3,4,8-tetramethoxyphenanthrene
Names
Preferred IUPAC name
1,5,6,7-Tetramethoxyphenanthren-2-ol
Identifiers
3D model (JSmol)
ChEMBL
ChemSpider
  • InChI=1S/C18H18O5/c1-20-14-9-10-5-6-12-11(7-8-13(19)16(12)21-2)15(10)18(23-4)17(14)22-3/h5-9,19H,1-4H3
    Key: JILKBZSAOHQOQD-UHFFFAOYSA-N
  • COc3c2c(ccc1c(OC)c(O)ccc12)cc(OC)c3OC
Properties
C18H18O5
Molar mass 314.337 g·mol−1
Except where otherwise noted, data are given for materials in their standard state (at 25 °C [77 °F], 100 kPa).
Infobox references

References

  1. Phenanthrenes and a dihydrophenanthrene from Tamus communis and their cytotoxic activity. Adriána Kovácsa, Peter Forgob, István Zupkóc, Borbála Réthyc, György Falkayc, Pál Szabód and Judit Hohmanna, Phytochemistry, Volume 68, Issue 5, March 2007, Pages 687–691, doi:10.1016/j.phytochem.2006.10.028


This article is issued from Wikipedia. The text is licensed under Creative Commons - Attribution - Sharealike. Additional terms may apply for the media files.