Procaterol
Procaterol is an intermediate-acting β2 adrenoreceptor agonist used for the treatment of asthma. It has never been filed for FDA evaluation in the United States, where it is not marketed. The drug is readily oxidized in the presence of moisture and air, making it unsuitable for therapeutic use by inhalation.[1] Pharmaceutical company Parke-Davis/Warner-Lambert researched a stabilizer to prevent oxidation, but an effective one was never developed.[1]
![]() | |
| Clinical data | |
|---|---|
| Trade names | Meptin, others |
| AHFS/Drugs.com | Micromedex Detailed Consumer Information |
| Routes of administration | Oral (tablets, syrup), inhalation (DPI) |
| ATC code | |
| Identifiers | |
| |
| CAS Number |
|
| PubChem CID | |
| ChemSpider | |
| UNII |
|
| KEGG | |
| CompTox Dashboard (EPA) | |
| ECHA InfoCard | 100.069.606 |
| Chemical and physical data | |
| Formula | C16H22N2O3 |
| Molar mass | 290.363 g·mol−1 |
| 3D model (JSmol) | |
| Chirality | Racemic mixture |
| |
| | |
It was patented in 1974 and came into medical use in 1980.[2]
Synthesis
Like pirbuterol, procaterol exhibits similar broncholytic properties as salbutamol (albuterol), but it has somewhat of a more prolonged action. It is recommended for use as an inhaled drug for treating asthma.
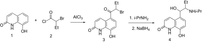
8-Hydroxycarbostyril 1 is acylated with 2-bromobutyric acid chloride 2 at the fifth position of the quinoline system, which gives the compound 3. This undergoes action of isopropylamine, forming an aminoketone, the carbonyl group of which is reduced by sodium borohydride, giving procaterol 4.
Names
It is also known as procaterol hydrochloride (USAN).
Procaterol is available under a number of trade names (Onsukil, Masacin, Procadil and others), the most common seems to be Meptin ((KR), (CN), (ID), (MY), (PH), (SG), (TH), (HK)).[7]
References
- US 4616022, Ghebre-sellassie I, Nesbitt Jr RU, "Procaterol stabilization", published 1984, issued 1986, assigned to Warner Lambert Co LLC
- Fischer J, Ganellin CR (2006). Analogue-based Drug Discovery. John Wiley & Sons. p. 543. ISBN 9783527607495.
- US 4026897, Nakagawa K, Yoshizaki S, "5-[1-Hydroxy-2-(substituted-amino)]alkyl-8-hydroxycarbostyril derivatives", issued 31 May 1977, assigned to Otsuka Pharmaceutical Co Ltd
- Yoshizaki S, Osaki M, Nakagawa K, Yamura Y (November 1980). "Synthesis of 8-hydroxycarbostyril". Chemical and Pharmaceutical Bulletin. 28 (11): 3441–3443. doi:10.1248/cpb.28.3441.
- Yoshizaki S, Tanimura K, Tamada S, Yabuuchi Y, Nakagawa K (September 1976). "Sympathomimetic amines having a carbostyril nucleus". Journal of Medicinal Chemistry. 19 (9): 1138–1142. doi:10.1021/jm00231a011. PMID 10441.
- Yoshizaki S, Manabe Y, Tamada S, Nakagawa K, Tei S (August 1977). "Isomers of erythro-5-(1-hydroxy-2-isopropylaminobutyl)-8-hydroxycarbostyril, a new bronchodilator". Journal of Medicinal Chemistry. 20 (8): 1103–1104. doi:10.1021/jm00218a024. PMID 894683.
- "International Drugs: Procaterol". Drugs.com. Retrieved 7 March 2016.

