Punigluconin
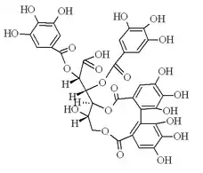
Punigluconin is an ellagitannin, a polyphenol compound. It is found in the bark of Punica granatum (pomegranate)[2] and in Emblica officinalis.[3] It is a molecule having a hexahydroxydiphenic acid group and two gallic acids attached to a gluconic acid core.[1]
![]() | |
| Names | |
|---|---|
| Systematic IUPAC name
(2R,3S)-3-[(7R,8R)-1,2,3,8,13,14,15-Heptahydroxy-5,11-dioxo-5,8,9,11-tetrahydro-7H-dibenzo[g,i][1,5]dioxacycloundecin-7-yl]-2,3-bis[(3,4,5-trihydroxybenzoyl)oxy]propanoic acid | |
| Other names
2,5-di-O-galloyl-4,6-O-(S)-hexahydroxy-diphenoyl-D-gluconic acid[1] | |
| Identifiers | |
3D model (JSmol) |
|
| ChemSpider | |
PubChem CID |
|
| UNII | |
CompTox Dashboard (EPA) |
|
| |
| |
| Properties | |
| C34H26O23 | |
| Molar mass | 802.53 g/mol |
Except where otherwise noted, data are given for materials in their standard state (at 25 °C [77 °F], 100 kPa).
Infobox references | |
References
- Tanaka Takashi; Tong Hui-Hong; Xu Ya-Ming; Ishimaru Kanji; Nonaka Gen-ichiro; Nishioka Itsuo (1992-11-25). "Tannins and Related Compounds. CXVII. Isolation and Characterization of Three New Ellagitannins, Lagerstannins A, B and C, Having a Gluconic Acid Core, from Lagerstroemia speciosa (L.) PERS". Chemical & Pharmaceutical Bulletin. 40 (11): 2975–2980. doi:10.1248/cpb.40.2975.
- Tanaka Takashi, Nonaka Gen-Ichiro & Nishioka Itsuo (1986-02-25). "Tannins and Related Compounds. XLI. : Isolation and Characterization of Novel Ellagitannins, Punicacorteins A, B, C, and D, and Punigluconin from the Bark of Punica granatum L". Chemical & Pharmaceutical Bulletin. 34 (2): 656–663. doi:10.1248/cpb.34.656.
- Bhattacharya, A; Chatterjee, A; Ghosal, S; Bhattacharya, SK (1999). "Antioxidant activity of active tannoid principles of Emblica officinalis (amla)". Indian Journal of Experimental Biology. 37 (7): 676–80. PMID 10522157.
This article is issued from Wikipedia. The text is licensed under Creative Commons - Attribution - Sharealike. Additional terms may apply for the media files.
