Takai olefination
| Takai olefination | |
|---|---|
| Named after | Kazuhiko Takai |
| Reaction type | Carbon-carbon bond forming reaction |
Takai olefination in organic chemistry describes the organic reaction of an aldehyde with a diorganochromium compound to form an alkene. It is a name reaction, referencing Kazuhiko Takai, who first reported it in 1986.[1] In the original reaction, the organochromium species is generated from iodoform or bromoform and an excess of chromium(II) chloride and the product is a vinyl halide. One main advantage of this reaction is the E-configuration of the double bond that is formed. According to the original report, existing alternatives such as the Wittig reaction only gave mixtures.
In the reaction mechanism proposed by Takai, chromium(II) is oxidized to chromium(III) eliminating two equivalents of a halide. The geminal carbodianion complex thus formed (determined as [Cr2Cl4(CHI)(THF)4])[2][3] reacts with the aldehyde in a 1,2-addition along one of the carbon to chromium bonds and in the next step both chromium bearing groups engage in an elimination reaction. In Newman projection it can be seen how the steric bulks of chromium groups and the steric bulks of the alkyl and halogen groups drive this reaction towards anti elimination.[4]
History
Prior to the introduction of this chromium-based protocol, olefination reactions generally gave Z alkenes or mixtures of isomers.[1] Similar olefination reactions had been performed using a variety of reagents such as zinc and lead chloride;[5] however, these olefination reactions often lead to the formation of diols—the McMurry reaction—rather than the methylenation or alkylidenation of aldehydes.[6] To circumvent this issue, the Takai group examined the synthetic potential of chromium(II) salts.
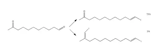
The reaction primarily employs the use of aldehydes, but ketones may be used. However, ketones do not react as well as aldehydes; thus, for a compound with both aldehyde and ketone groups, the reaction can target just the aldehyde group and leave the ketone group intact.[1]

The drawbacks to the reaction include the fact that stoichiometrically, 4 equivalents of chromium chloride must be used, since there is a reduction of two halogen atoms.[3] Ways to limit the amount of chromium chloride exist, namely by utilization of zinc equivalent,[7] but this method remains unpopular.
Takai–Utimoto olefination
In a second publication the scope of the reaction was extended to diorganochromium intermediates bearing alkyl groups instead of halogens:[8]
References
- Takai, K.; Nitta, K.; Utimoto, K. (1986). "Simple and selective method for RCHO → (E)-RCH=CHX conversion by means of a CHX3–CrCL2 system". Journal of the American Chemical Society. 108 (23): 7408–7410. doi:10.1021/ja00283a046.
- Werner, Daniel; Anwander, Reiner (28 September 2018). "Unveiling the Takai Olefination Reagent via Tris(tert-butoxy)siloxy Variants". Journal of the American Chemical Society. 140 (43): 14334–14341. doi:10.1021/jacs.8b08739. ISSN 0002-7863. PMID 30213182. S2CID 207194831.
- Murai, Masahito; Taniguchi, Ryuji; Hosokawa, Naoki; Nishida, Yusuke; Mimachi, Hiroko; Oshiki, Toshiyuki; Takai, Kazuhiko (2017). "Structural Characterization and Unique Catalytic Performance of Silyl-Group-Substituted Geminal Dichromiomethane Complexes Stabilized with a Diamine Ligand". Journal of the American Chemical Society. 139 (37): 13184–13192. doi:10.1021/jacs.7b07487. PMID 28814078.
- Kürti, László; Czakó, Barbara (2005). Strategic Applications of Named Reactions in Organic Synthesis. Burlington; San Diego; London: Elsevier Academic Press. ISBN 978-0-12-369483-6.
- Okazoe, Takashi; Takai, Kazuhiko; Oshima, Koichiro; Utimoto, Kiitiro (1987). "Alkylidenation of ester carbonyl groups by means of a reagent derived from RCHBr2, Zn, TiCl4, and TMEDA. Stereoselective preparation of (Z)-alkenyl ethers". Journal of Organic Chemistry. 52 (19): 4410–4412. doi:10.1021/jo00228a055.
- Mukaiyama, Teruaki; Sato, Toshio; Hanna, Junichi (1973). "Reductive coupling of carbonyl compounds to pinacols and olefins by using TiCl4 and Zn". Chemistry Letters. 2 (10): 1041–1044. doi:10.1246/cl.1973.1041.
- Takai, Kazuhiko; Ichiguchi, Tetsuya; Hikasa, Shintaro (1999). "A Practical Transformation of Aldehydes into (E)-Iodoalkenes with Geminal Dichromium Reagents". Synlett. 1999 (8): 1268–1270. doi:10.1055/s-1999-2829.
- Okazoe, T.; Takai, Kazuhiko; Utimoto, K. (1987). "(E)-Selective olefination of aldehydes by means of gem-dichromium reagents derived by reduction of gem-diiodoalkanes with chromium(II) chloride". Journal of the American Chemical Society. 109 (3): 951–953. doi:10.1021/ja00237a081.


