Talampicillin

Talampicillin is a beta lactam antibiotic from the penicillin family. It is an acid stable prodrug that was administered orally. It is not approved by the FDA for use in the United States. It should be avoided in Liver diseases

Talampicillin
Clinical data
AHFS/Drugs.comInternational Drug Names
ATC code
Identifiers
  • 3-oxo-1,3-dihydro-2-benzofuran-1-yl (2S,5R,6R)-6-{[(2R)-2-amino-2-phenylacetyl]amino}-3,3-dimethyl-7-oxo-4-thia-1-azabicyclo[3.2.0]heptane-2-carboxylate
CAS Number
PubChem CID
ChemSpider
UNII
ChEMBL
CompTox Dashboard (EPA)
ECHA InfoCard100.051.194
Chemical and physical data
FormulaC24H23N3O6S
Molar mass481.52 g·mol−1
3D model (JSmol)
  • O=C(OC2OC(=O)c1ccccc12)[C@@H]4N5C(=O)[C@@H](NC(=O)[C@@H](c3ccccc3)N)[C@H]5SC4(C)C
  • InChI=1S/C24H23N3O6S/c1-24(2)17(22(31)33-23-14-11-7-6-10-13(14)21(30)32-23)27-19(29)16(20(27)34-24)26-18(28)15(25)12-8-4-3-5-9-12/h3-11,15-17,20,23H,25H2,1-2H3,(H,26,28)/t15-,16-,17+,20-,23?/m1/s1 ☒N
  • Key:SOROUYSPFADXSN-SUWVAFIASA-N ☒N
 ☒NcheckY (what is this?)  (verify)

Synthesis

Ampicillin remains the penicillin of choice for many infections because of its oral activity and good potency against Gram-negative bacteria. A number of prodrugs have been examined in attempts to improve upon the pharmacodynamic characteristics, and one of these is talampicillin.

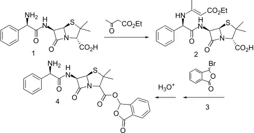
Talampicillin synthesis:[1][2][3][4][5]

One synthesis involved protecting the primary amino group of ampicillin (1) as the enamine with ethyl acetoacetate (2). THis was then esterified by reaction with 3-bromopthalide (3), and the enamine was carefully hydrolyzed with dilute HCl in acetonitrile to produce talampicillin (4).

References

  1. Isaka I, Nakano K, Kashiwagi T, Koda A, Horiguchi H (January 1976). "Lactol esters of ampicillin". Chemical & Pharmaceutical Bulletin. 24 (1): 102–7. doi:10.1248/cpb.24.102. PMID 1269054.
  2. Clayton JP, Cole M, Elson SW, Ferres H, Hanson JC, Mizen LW, Sutherland R (December 1976). "Preparation, hydrolysis, and oral absorption of lactonyl esters of penicillins". Journal of Medicinal Chemistry. 19 (12): 1385–91. doi:10.1021/jm00234a007. PMID 826629.
  3. DE 2228012, Ferres H, Clayton MP, "Phthalide penicillin ester intermediates", issued 1972, assigned to Beecham
  4. US 3860579, Ferres H, Clayton MP, "Phthalide Peniclillin Ester and Salts", issued 1975, assigned to Beecham
  5. US 3951954, Murakami, "Novel oxofuryl ester derivatives of penicillin and cephalosporin", issued 1976, assigned to Yamanouchi


This article is issued from Wikipedia. The text is licensed under Creative Commons - Attribution - Sharealike. Additional terms may apply for the media files.