XITS font project
The XITS font project is an OpenType implementation of STIX fonts version 1.x with math support for mathematical and scientific publishing.[1] The main mission of the Times-like XITS typeface is to provide a version of STIX fonts enriched with the OpenType MATH extension.

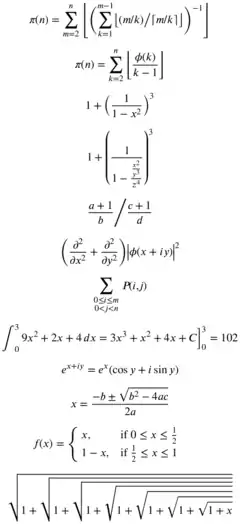
Specimen of XITS Math usage
![]() | |
| Category | Various |
|---|---|
| Classification | Transitional |
| Designer(s) | Khaled Hosny |
| Date created | 2010 |
| Date released | 2019 |
| License | SIL Open Font License |
| Design based on | STIX Fonts project |
| Also known as | XITS Math |
| Website | https://github.com/aliftype/xits |
| Latest release version | 1.302 |
| Latest release date | 2 July 2020 |
Features
- OpenType mathematical layout features needed for use with new formula editor in MS Office 2007 and the new TeX engines XeTeX and LuaTeX, providing high quality mathematical typesetting.
- Right to left and Arabic mathematical notation support (since version 1.011[2]).
- General OpenType features in text fonts (Kerning, Standard Ligatures, Fractions, Small Caps, and Inferior, Superior and Oldstyle Figures).
See also
Other OpenType fonts with mathematical layout extensions:
XITS is shipped with:
References
- First STIX and now XITS, project announcement on 4 June 2010
- Version 1.011 announcement
External links
This article is issued from Wikipedia. The text is licensed under Creative Commons - Attribution - Sharealike. Additional terms may apply for the media files.
