Corey–Seebach reaction

The Corey–Seebach reaction, or Seebach Umpolung is a name reaction of organic chemistry that allows for acylation by converting aldehydes into lithiated 1,3-dithianes. The lithiated 1,3-dithianes serves as an acyl anion equivalent, undergoing alkylation with electrophiles.[1][2][3][4] The reaction is of pedagogical value, but it is cumbersome, so it is not widely used.

Corey–Seebach reaction
Named after Elias James Corey
Dieter Seebach
Reaction type Coupling reaction
Identifiers
Organic Chemistry Portal corey-seebach-reaction

Implementation

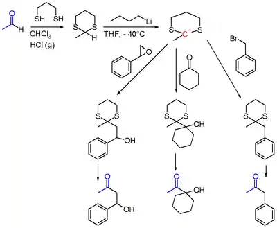
The aldehyde is first converted into a dithiane, usually with 1,3-propanedithiol. The resulting 1,3-dithiane is then lithiated with the use of butyllithium. The 2-lithio-1,3-dithiane reacts with electrophiles to give a 2-alkyl-1,3-dithiane.[3]

Finally, the 2-alkyl-1,3-dithiane can be converted to a carbonyl by hydrolysis, usually with the use of mercury(II) oxide. Alternatively the 2-alkyl-1,3-dithiane can be reduced to an alkane.[5]

Umpolung reactions with 1,3-dithianes

Scope

The lithiated 1,3-dithiane can react with alkyl halides, epoxides,[6][7] ketones, acyl halides, and iminium salts, which after hydrolysis of dithioacetals can yield ketones, β-hydroxyketones, α-hydroxyketones, 1,2-diketones[1] and α-aminoketones. Notably, α-hydroxyketones and 1,2-diketones can not be generated through typical reactions of aldehydes such as the aldol reaction.[8] Other possible electrophiles include aldehydes,[9] amides, and esters.[8][10]

The reaction between lithiated 1,3-dithianes and arenesulfonates offers a similar path to that of alkyl halides, being able to form dithioacetals which can be converted to ketones.[11]

References

  1. Corey, Elias James; Seebach, Dieter (1 December 1965). "Synthesis of 1,n-Dicarbonyl Derivates Using Carbanions from 1,3-Dithianes". Angewandte Chemie International Edition. 4 (12): 1077–1078. doi:10.1002/anie.196510771.
  2. Corey, Elias James; Seebach, Dieter (1 December 1966). "Phenylthiomethyllithium and Bis(phenylthio)methyllithium". The Journal of Organic Chemistry. 31 (12): 4097–4099. doi:10.1021/jo01350a052.
  3. Seebach, Dieter; Corey, Elias James (1 January 1975). "Generation and synthetic applications of 2-lithio-1,3-dithianes". The Journal of Organic Chemistry. 40 (2): 231–237. doi:10.1021/jo00890a018.
  4. Smith, Amos B.; Adams, Christopher M. (6 May 2004). "Evolution of Dithiane-Based Strategies for the Construction of Architecturally Complex Natural Products". Accounts of Chemical Research. 37 (6): 365–377. doi:10.1021/ar030245r. PMID 15196046.
  5. Yus, Miguel; Nájera, Carmen; Foubelo, Francisco (11 August 2003). "The role of 1,3-dithianes in natural product synthesis". Tetrahedron. 59 (13): 6147–6212. doi:10.1016/S0040-4020(03)00955-4.
  6. Williams, David R.; Sit, Sing Yuen (1 May 1984). "Total synthesis of (+)-phyllanthocin". Journal of the American Chemical Society. 106 (10): 2949–2954. doi:10.1021/ja00322a035.
  7. Smith, Amos B.; Xian, Ming (11 January 2006). "Anion Relay Chemistry: An Effective Tactic for Diversity Oriented Synthesis". Journal of the American Chemical Society. 128 (1): 66–67. doi:10.1021/ja057059w. PMID 16390124.
  8. Page, Philip C. Bulman; van Niel, Monique B.; Pordger, Jeremy C. (29 November 1988). "Synthetic uses of the 1,3-dithiane grouping from 1977 to 1988". Tetrahedron. 45 (24): 7643–7677. doi:10.1016/S0040-4020(01)85784-7.
  9. Ley, Steven V.; Abad-Somovilla, Antonio; Anderson, James C.; Ayats, Carles; Bänteli, Rolf; Beckmann, Edith; Boyer, Alistair; Brasca, Maria G.; Brice, Abigail; Broughton, Howard B.; Burke, Brenda J.; Cleator, Ed; Craig, Donald; Denholm, Alastair A.; Denton, Ross M.; Durand-Reville, Thomas; Gobbi, Luca B.; Göbel, Michael; Gray, Brian Lawrence; Grossmann, Robert B.; Gutteridge, Clair E.; Hahn, Norbert; Harding, Sarah L.; Jennens, David C.; Jennens, Lynn; Lovell, Peter J.; Lovell, Helen J.; de la Puente, Mary L.; Kolb, Martmuth C.; Koot, Win-Jan; Maslen, Sarah L.; McCusker, Catherine; Mattes, Amos; Pape, Andrew R.; Pinto, Andrea; Santafianos, Dinos; Scott, James S.; Smith, Stephen C.; Somers, Andrew Q.; Spilling, Christopher D.; Stelzer, Frank; Toogood, Peter L.; Turner, Richard M; Veitch, Gemma E.; Wood, Anthony; Zumbrunn, Cornelia (1 January 2018). "The synthesis of azadirachtin: a potent insect antifeedant". Chemistry: A European Journal. 14 (34): 10683–10704. doi:10.1002/chem.200801103. PMID 18821532.
  10. Chen, Yue-Lei; Leguijt, Robin; Redlich, Hartmut; Fröhlich, Roland (30 April 2006). "Trimethylene Dithioacetals of Carbohydrates, Part 6: C-C Coupling Reactions of Dilithiated N-Acetyl-D-glucosamine Trimethylene Dithioacetal Derivatives". Synthesis. 2006 (24): 4212–4218. doi:10.1055/s-2006-950359.
  11. Seebach, Dieter; Wilka, Eva-Maria (1976). "Alkylation of 2-Lithio-1,3-dithianes with Arenesulfonates of Primary Alcohols". Synthesis. 1976 (7): 476–477. doi:10.1055/s-1976-24092.
This article is issued from Wikipedia. The text is licensed under Creative Commons - Attribution - Sharealike. Additional terms may apply for the media files.